🇳🇴 🇬🇧 🇩🇪 🇨🇿 🇫🇮

Meteor Segalstad brun yllä 2024-12-14 23:09:51 UTC

KML-tiedosto  |  Interaktiivinen kartta

Kartta näyttää meteorin suuntahavainnot. Vaaleammat viivat näyttävät suunnat havaintoasemilta meteorin ilmestyessä, ja tummemmat viivat näyttävät, missä se viimeksi nähtiin. Sininen nuoli näyttää meteorin näkyvän lennon.

static map
height profile
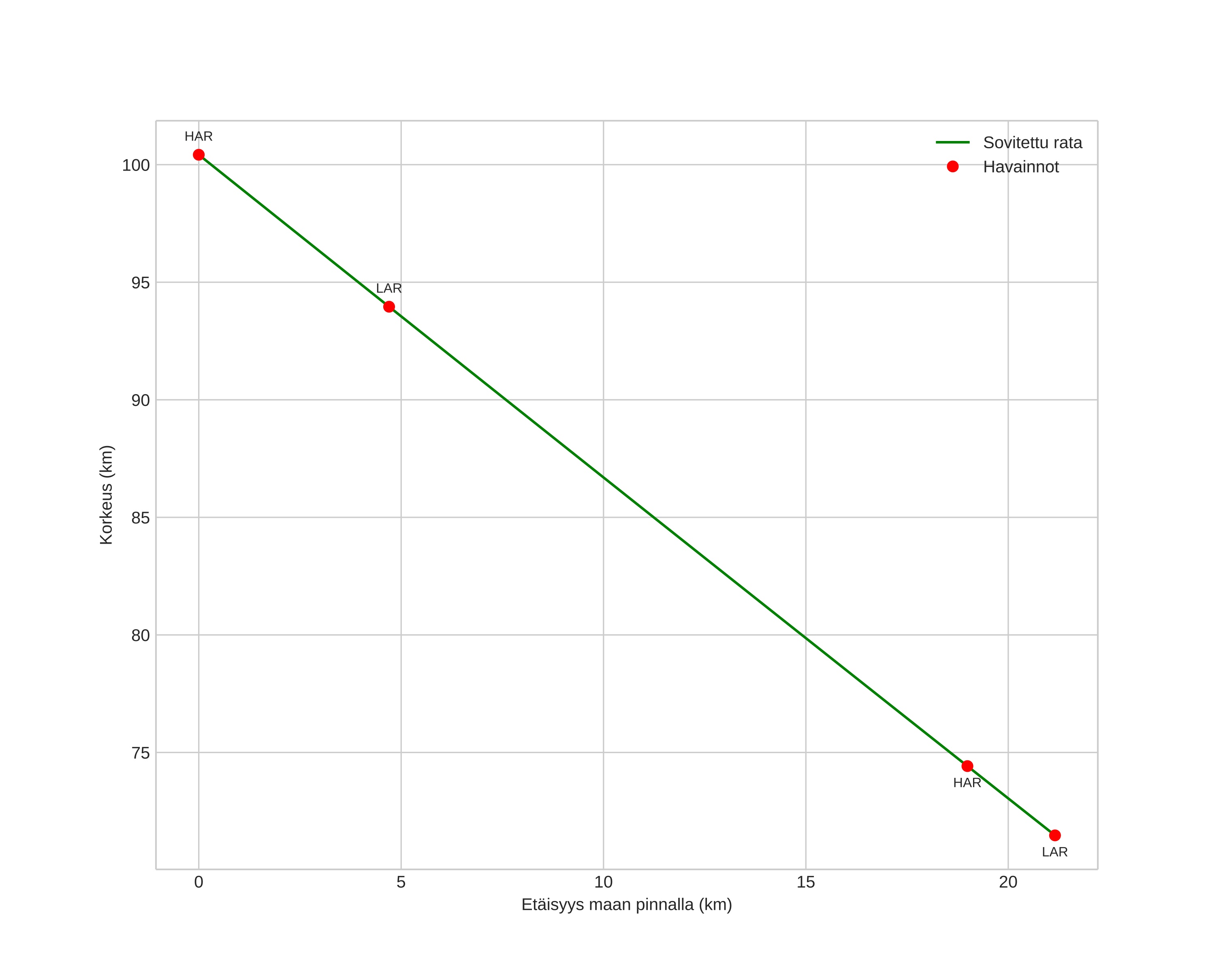
Meteorin ilmakehärata:
Alkukorkeus: 102,6 km
Loppukorkeus: 71,8 km
Alkupiste: 61,076N 10,599E
Loppupiste: 61,180N 10,295E
Suunta: 305,5°
Kallistuskulma: 57,1°
Tulonopeus: 36,9 km/s
Radiantin R,A,: 07:38 (114,7°)
Radiantin Dekl,: 34,9°
Meteoriparvi: Geminidit
Meteoroidin rataelementit:
Perihelietäisyys: 0,158 AU
Eksentrisyys: 0,893
Inklinaatio: 29,1°
Nousevan solmun pituus: 263,1°
Perihelin argumentti: 321,2°
Keskianomalia: 339,4°
Epookki: 2024 DEC 14 23:09:51
orbit plot

Ei-interaktiivinen kuvaaja | Interaktiivinen kuvaaja

position vs time
speed and acceleration