🇳🇴 🇬🇧 🇩🇪 🇨🇿 🇫🇮

Meteor, poloha: Sæby 2024-12-20 02:56:49 UTC

Soubor KML  |  InteraktivnĂ­ mapa

Mapa zobrazuje dráhy meteoru. Světlejší čáry ukazují směry od pozorovacích stanic při objevení se meteoru a tmavší čáry, kde byl naposledy viděn. Modrá šipka značí viditelnou dráhu meteoru.

static map
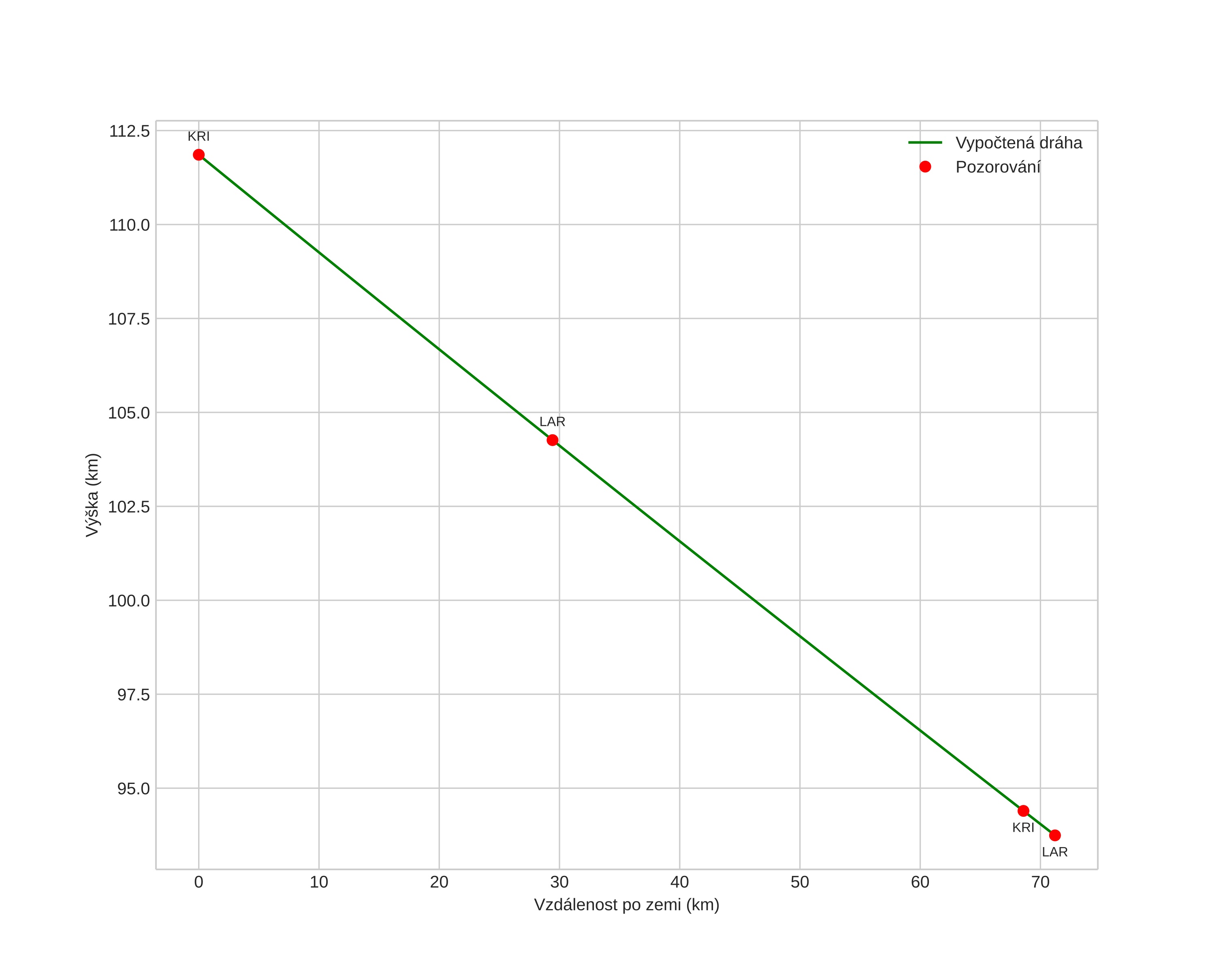
height profile
Atmosférická dráha meteoru:
Počáteční výška: 110,3 km
Konečná výška: 93,1 km
Počáteční poloha: 56,871N 11,572E
Konečná poloha: 57,155N 10,559E
Směr: 297,7°
Sklon: 14,0°
VstupnĂ­ rychlost: 68,6 km/s
Rektascenze radiantu: 13:36 (204,0°)
Deklinace radiantu: -2,9°
MeteorickĂ˝ roj: sporadickĂ˝
Elementy dráhy meteoroidu:
Vzdálenost v periheliu: 0,543 AU
Excentricita: 0,988
Sklon dráhy: 165,8°
Délka vzestupného uzlu: 268,4°
Argument perihelia: 95,7°
Střední anomálie: 0,1°
Epocha: 2024 DEC 20 02:56:49
orbit plot

NeinteraktivnĂ­ graf | InteraktivnĂ­ graf

position vs time
speed and acceleration