🇳🇴 🇬🇧 🇩🇪 🇨🇿 🇫🇮

Meteor über Sæby 2024-12-20 02:56:49 UTC

KML-Datei  |  Interaktive Karte

Die Karte zeigt die Peilungen für den Meteor. Die helleren Linien zeigen die Richtungen von den Beobachtungsorten beim Erscheinen des Meteors, und die dunkleren Linien, wo er zuletzt gesehen wurde. Der blaue Pfeil zeigt die sichtbare Bahn des Meteors.

static map
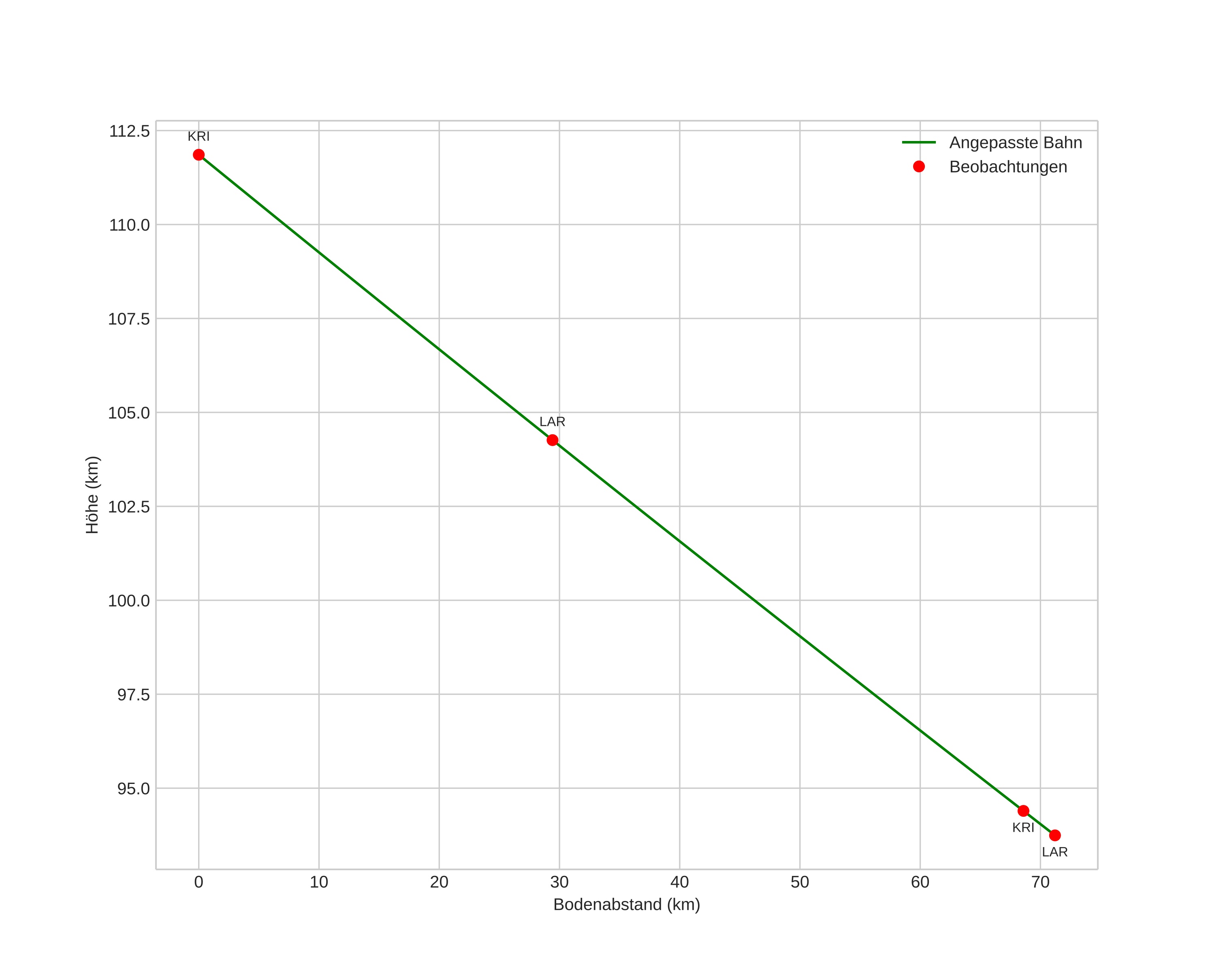
height profile
Atmosphärische Bahn des Meteors:
Anfangshöhe: 110,3 km
Endhöhe: 93,1 km
Startposition: 56,871N 11,572E
Endposition: 57,155N 10,559E
Richtung: 297,7°
Neigungswinkel: 14,0°
Eintrittsgeschwindigkeit: 68,6 km/s
Rektaszension des Radianten: 13:36 (204,0°)
Deklination des Radianten: -2,9°
Meteorstrom: sporadisch
Bahnelemente des Meteoroiden:
Periheldistanz: 0,543 AU
Exzentrizität: 0,988
Inklination: 165,8°
Länge des aufsteigenden Knotens: 268,4°
Argument des Perihels: 95,7°
Mittlere Anomalie: 0,1°
Epoche: 2024 DEC 20 02:56:49
orbit plot

Nicht-interaktives Diagramm | Interaktives Diagramm

position vs time
speed and acceleration