🇳🇴 🇬🇧 🇩🇪 🇨🇿 🇫🇮

Meteor Sæbyn yllä 2024-12-20 02:56:49 UTC

KML-tiedosto  |  Interaktiivinen kartta

Kartta näyttää meteorin suuntahavainnot. Vaaleammat viivat näyttävät suunnat havaintoasemilta meteorin ilmestyessä, ja tummemmat viivat näyttävät, missä se viimeksi nähtiin. Sininen nuoli näyttää meteorin näkyvän lennon.

static map
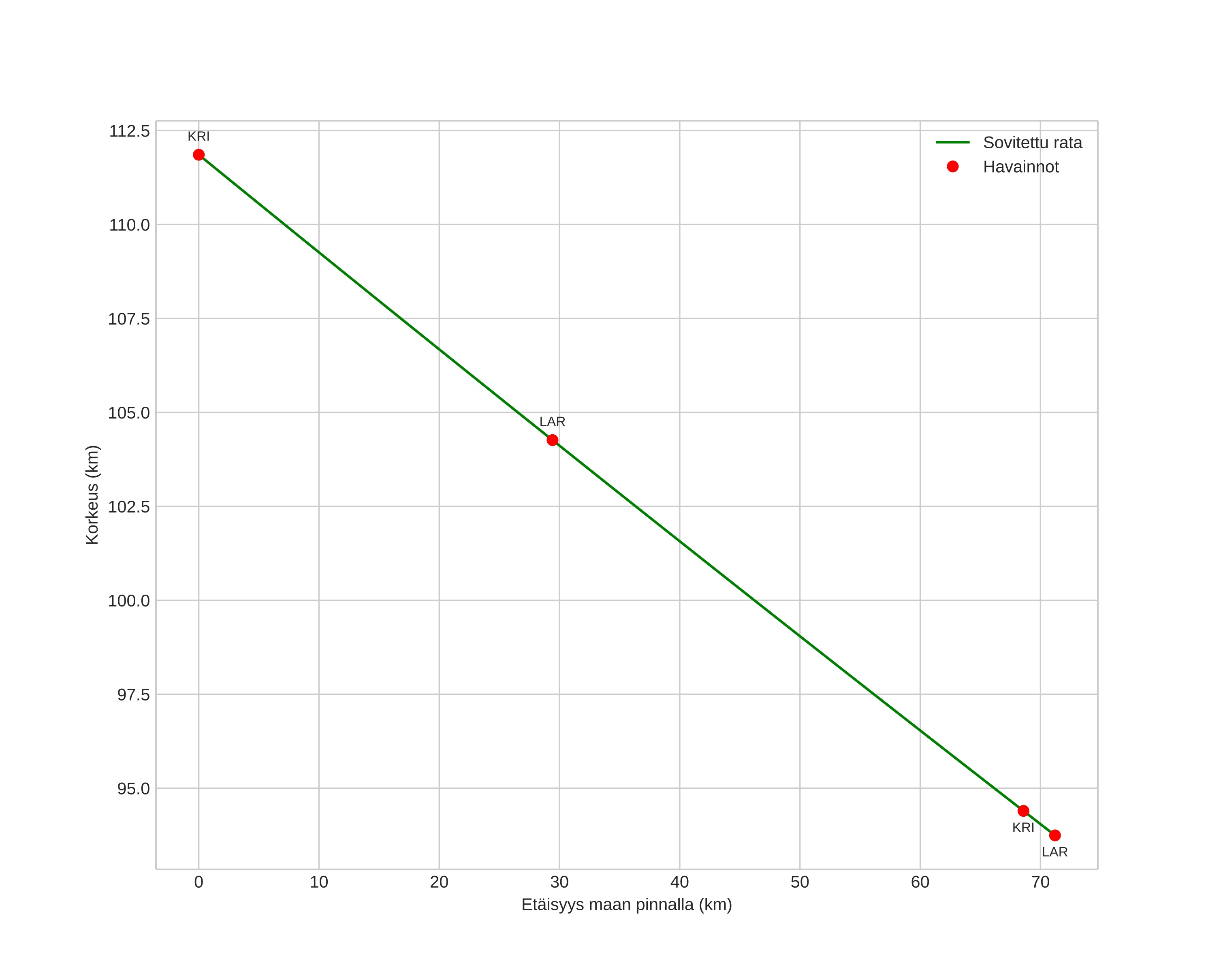
height profile
Meteorin ilmakehärata:
Alkukorkeus: 110,3 km
Loppukorkeus: 93,1 km
Alkupiste: 56,871N 11,572E
Loppupiste: 57,155N 10,559E
Suunta: 297,7°
Kallistuskulma: 14,0°
Tulonopeus: 68,6 km/s
Radiantin R,A,: 13:36 (204,0°)
Radiantin Dekl,: -2,9°
Meteoriparvi: Sporadinen
Meteoroidin rataelementit:
Perihelietäisyys: 0,543 AU
Eksentrisyys: 0,988
Inklinaatio: 165,8°
Nousevan solmun pituus: 268,4°
Perihelin argumentti: 95,7°
Keskianomalia: 0,1°
Epookki: 2024 DEC 20 02:56:49
orbit plot

Ei-interaktiivinen kuvaaja | Interaktiivinen kuvaaja

position vs time
speed and acceleration