🇳🇴 🇬🇧 🇩🇪 🇨🇿 🇫🇮

Meteor, poloha: Olderdalen 2024-12-23 22:38:55 UTC

Soubor KML  |  InteraktivnĂ­ mapa

Mapa zobrazuje dráhy meteoru. Světlejší čáry ukazují směry od pozorovacích stanic při objevení se meteoru a tmavší čáry, kde byl naposledy viděn. Modrá šipka značí viditelnou dráhu meteoru.

static map
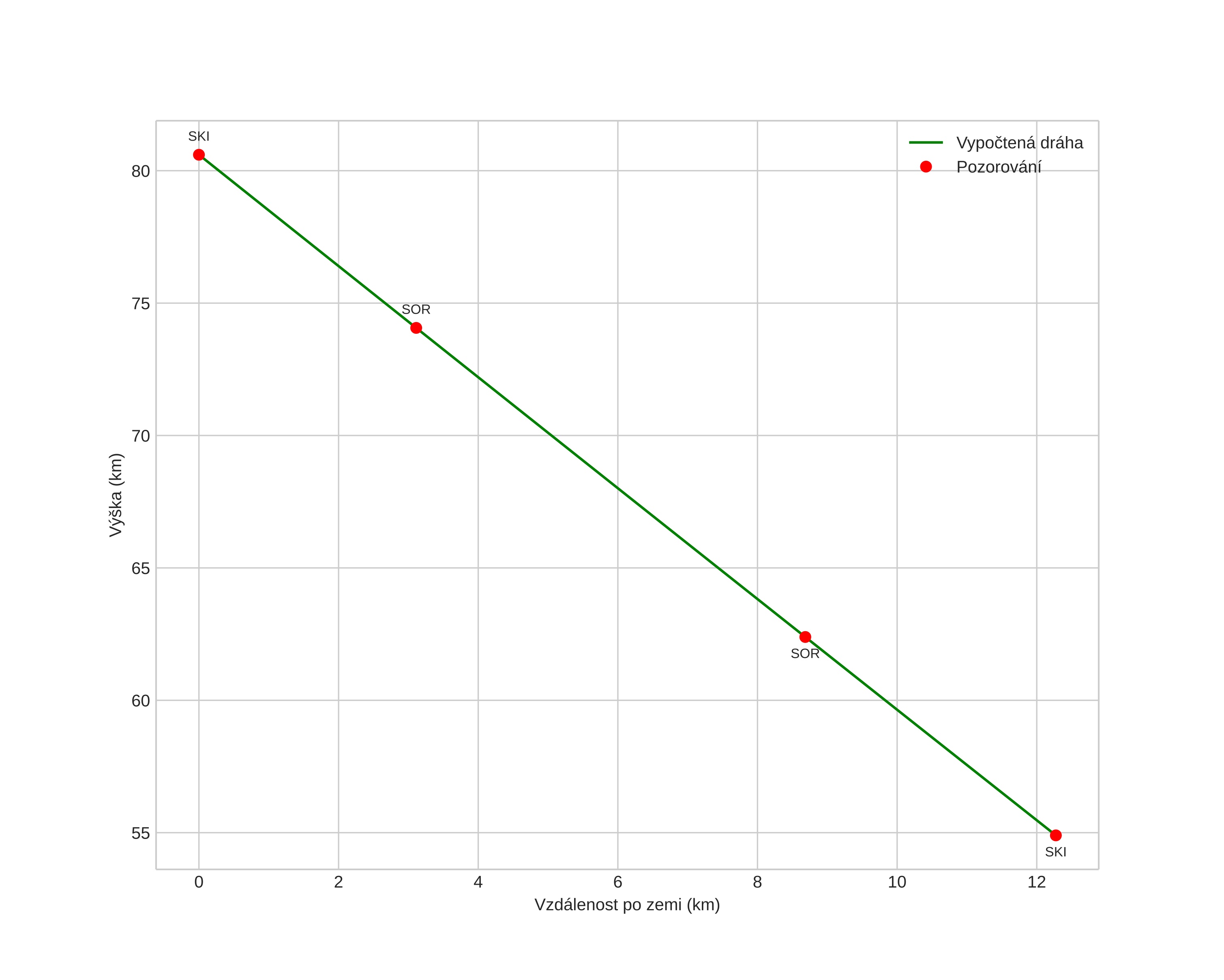
height profile
Atmosférická dráha meteoru:
Počáteční výška: 80,4 km
Konečná výška: 55,2 km
Počáteční poloha: 69,525N 20,131E
Konečná poloha: 69,485N 20,424E
Směr: 111,2°
Sklon: 64,1°
VstupnĂ­ rychlost: 31,1 km/s
Rektascenze radiantu: 01:32 (23,1°)
Deklinace radiantu: 62,9°
MeteorickĂ˝ roj: sporadickĂ˝
Elementy dráhy meteoroidu:
Vzdálenost v periheliu: 0,918 AU
Excentricita: 1,768
Sklon dráhy: 26,8°
Délka vzestupného uzlu: 272,3°
Argument perihelia: 206,4°
Střední anomálie: -11,2°
Epocha: 2024 DEC 23 22:38:55
orbit plot

NeinteraktivnĂ­ graf | InteraktivnĂ­ graf

position vs time
speed and acceleration

Skibotn (SKI) cam6

gnomonic
Videa
Obrázky
• Původní
Textové soubory
• Detekce
• Pozorování
• Souřadnice
• Protokol
Jasnost