🇳🇴 🇬🇧 🇩🇪 🇨🇿 🇫🇮

Meteor Olderdalenin yllä 2024-12-23 22:38:55 UTC

KML-tiedosto  |  Interaktiivinen kartta

Kartta näyttää meteorin suuntahavainnot. Vaaleammat viivat näyttävät suunnat havaintoasemilta meteorin ilmestyessä, ja tummemmat viivat näyttävät, missä se viimeksi nähtiin. Sininen nuoli näyttää meteorin näkyvän lennon.

static map
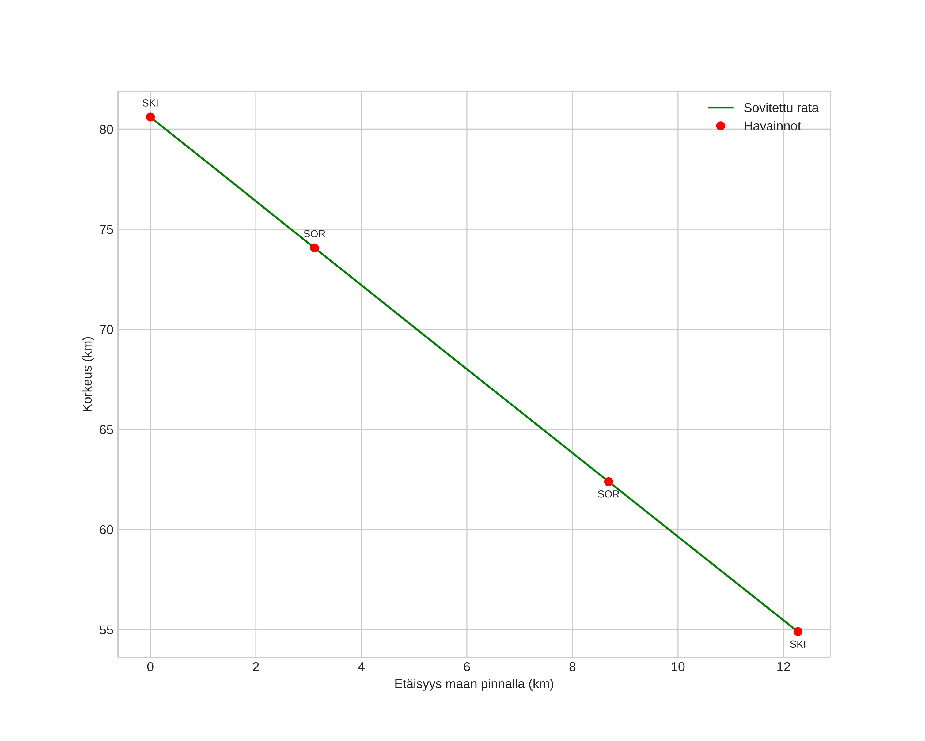
height profile
Meteorin ilmakehärata:
Alkukorkeus: 80,4 km
Loppukorkeus: 55,2 km
Alkupiste: 69,525N 20,131E
Loppupiste: 69,485N 20,424E
Suunta: 111,2°
Kallistuskulma: 64,1°
Tulonopeus: 31,1 km/s
Radiantin R,A,: 01:32 (23,1°)
Radiantin Dekl,: 62,9°
Meteoriparvi: Sporadinen
Meteoroidin rataelementit:
Perihelietäisyys: 0,918 AU
Eksentrisyys: 1,768
Inklinaatio: 26,8°
Nousevan solmun pituus: 272,3°
Perihelin argumentti: 206,4°
Keskianomalia: -11,2°
Epookki: 2024 DEC 23 22:38:55
orbit plot

Ei-interaktiivinen kuvaaja | Interaktiivinen kuvaaja

position vs time
speed and acceleration

Skibotn (SKI) cam6

gnomonic
Videot:
Kuvat:
• Alkuperäinen
Tekstitiedostot:
• Havaintoraportti
• Observaatio
• Koordinaatit
• Loki
Kirkkaus