🇳🇴 🇬🇧 🇩🇪 🇨🇿 🇫🇮

Meteor über Olderdalen 2024-12-23 22:38:55 UTC

KML-Datei  |  Interaktive Karte

Die Karte zeigt die Peilungen für den Meteor. Die helleren Linien zeigen die Richtungen von den Beobachtungsorten beim Erscheinen des Meteors, und die dunkleren Linien, wo er zuletzt gesehen wurde. Der blaue Pfeil zeigt die sichtbare Bahn des Meteors.

static map
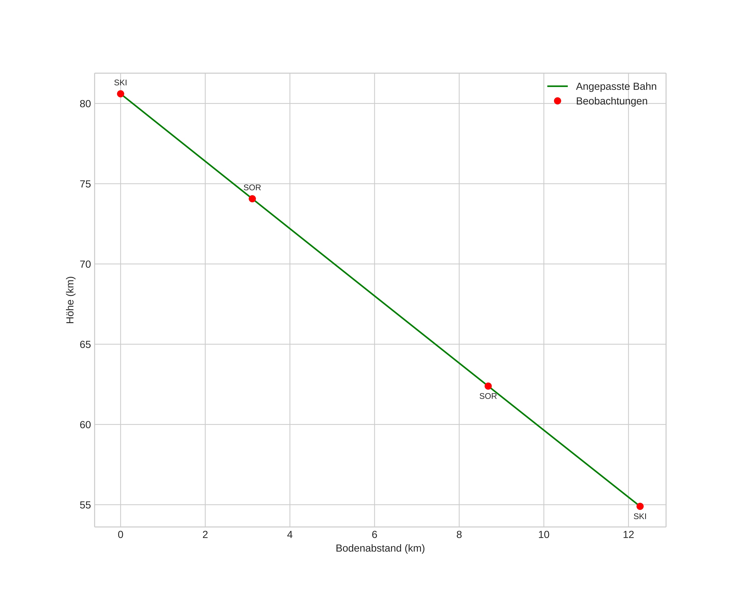
height profile
Atmosphärische Bahn des Meteors:
Anfangshöhe: 80,4 km
Endhöhe: 55,2 km
Startposition: 69,525N 20,131E
Endposition: 69,485N 20,424E
Richtung: 111,2°
Neigungswinkel: 64,1°
Eintrittsgeschwindigkeit: 31,1 km/s
Rektaszension des Radianten: 01:32 (23,1°)
Deklination des Radianten: 62,9°
Meteorstrom: sporadisch
Bahnelemente des Meteoroiden:
Periheldistanz: 0,918 AU
Exzentrizität: 1,768
Inklination: 26,8°
Länge des aufsteigenden Knotens: 272,3°
Argument des Perihels: 206,4°
Mittlere Anomalie: -11,2°
Epoche: 2024 DEC 23 22:38:55
orbit plot

Nicht-interaktives Diagramm | Interaktives Diagramm

position vs time
speed and acceleration

Skibotn (SKI) cam6

gnomonic
Videos
Bilder
• Original
Textdateien
• Erkennung
• Beobachtung
• Koordinaten
• Protokoll
Helligkeit