🇳🇴 🇬🇧 🇩🇪 🇨🇿 🇫🇮

Meteor, poloha: Kirkenær 2024-12-25 15:54:31 UTC

Soubor KML  |  InteraktivnĂ­ mapa

Mapa zobrazuje dráhy meteoru. Světlejší čáry ukazují směry od pozorovacích stanic při objevení se meteoru a tmavší čáry, kde byl naposledy viděn. Modrá šipka značí viditelnou dráhu meteoru.

static map
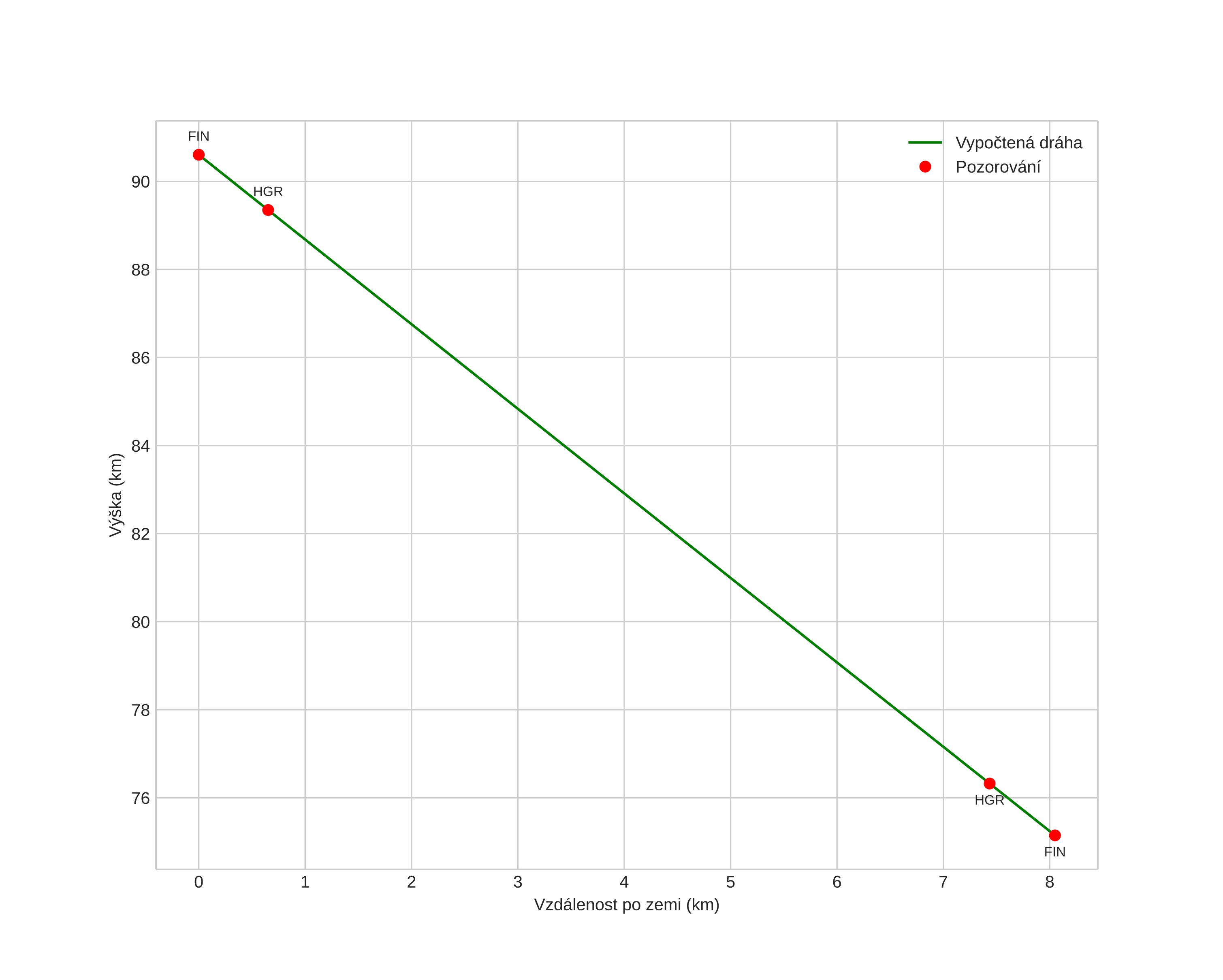
height profile
Atmosférická dráha meteoru:
Počáteční výška: 91,2 km
Konečná výška: 75,0 km
Počáteční poloha: 60,392N 12,300E
Konečná poloha: 60,358N 12,443E
Směr: 115,4°
Sklon: 61,8°
VstupnĂ­ rychlost: 24,3 km/s
Rektascenze radiantu: 18:53 (283,4°)
Deklinace radiantu: 58,7°
MeteorickĂ˝ roj: sporadickĂ˝
Elementy dráhy meteoroidu:
Vzdálenost v periheliu: 0,977 AU
Excentricita: 0,703
Sklon dráhy: 33,2°
Délka vzestupného uzlu: 274,0°
Argument perihelia: 170,1°
Střední anomálie: 1,2°
Epocha: 2024 DEC 25 15:54:31
orbit plot

NeinteraktivnĂ­ graf | InteraktivnĂ­ graf

position vs time
speed and acceleration