🇳🇴 🇬🇧 🇩🇪 🇨🇿 🇫🇮

Meteor Kirkenærin yllä 2024-12-25 15:54:31 UTC

KML-tiedosto  |  Interaktiivinen kartta

Kartta näyttää meteorin suuntahavainnot. Vaaleammat viivat näyttävät suunnat havaintoasemilta meteorin ilmestyessä, ja tummemmat viivat näyttävät, missä se viimeksi nähtiin. Sininen nuoli näyttää meteorin näkyvän lennon.

static map
height profile
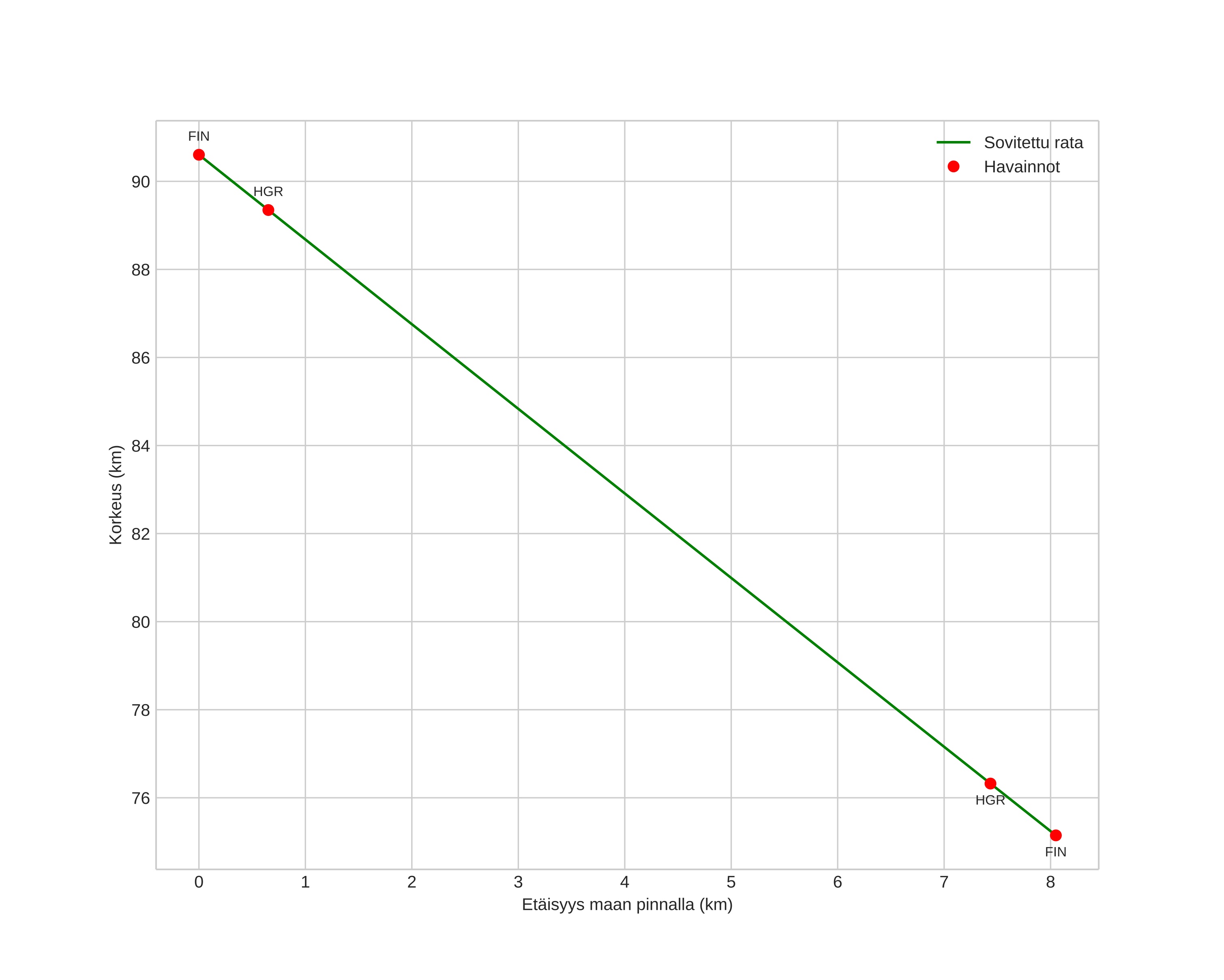
Meteorin ilmakehärata:
Alkukorkeus: 91,2 km
Loppukorkeus: 75,0 km
Alkupiste: 60,392N 12,300E
Loppupiste: 60,358N 12,443E
Suunta: 115,4°
Kallistuskulma: 61,8°
Tulonopeus: 24,3 km/s
Radiantin R,A,: 18:53 (283,4°)
Radiantin Dekl,: 58,7°
Meteoriparvi: Sporadinen
Meteoroidin rataelementit:
Perihelietäisyys: 0,977 AU
Eksentrisyys: 0,703
Inklinaatio: 33,2°
Nousevan solmun pituus: 274,0°
Perihelin argumentti: 170,1°
Keskianomalia: 1,2°
Epookki: 2024 DEC 25 15:54:31
orbit plot

Ei-interaktiivinen kuvaaja | Interaktiivinen kuvaaja

position vs time
speed and acceleration