🇳🇴 🇬🇧 🇩🇪 🇨🇿 🇫🇮

Meteor über Kirkenær 2024-12-25 15:54:31 UTC

KML-Datei  |  Interaktive Karte

Die Karte zeigt die Peilungen für den Meteor. Die helleren Linien zeigen die Richtungen von den Beobachtungsorten beim Erscheinen des Meteors, und die dunkleren Linien, wo er zuletzt gesehen wurde. Der blaue Pfeil zeigt die sichtbare Bahn des Meteors.

static map
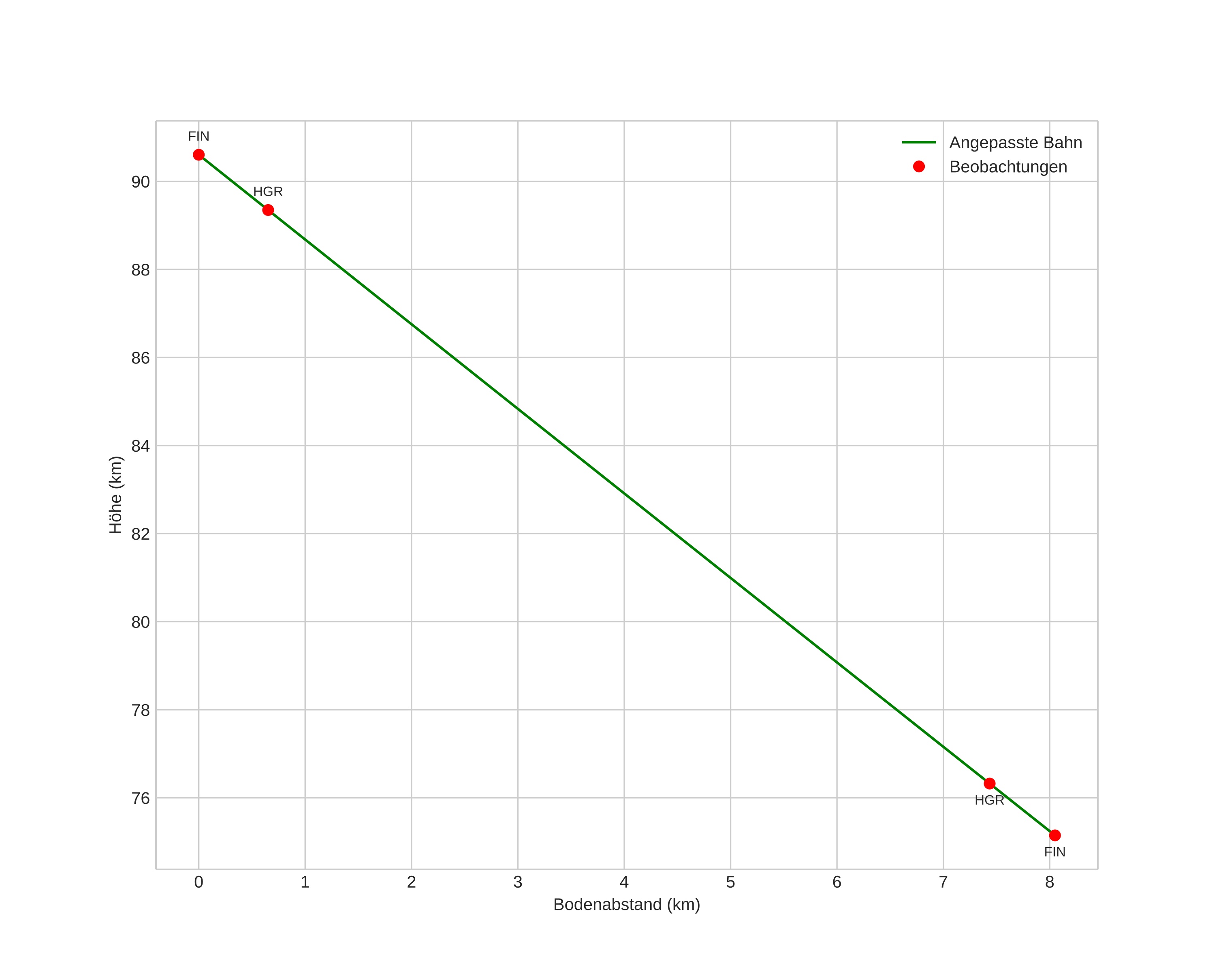
height profile
Atmosphärische Bahn des Meteors:
Anfangshöhe: 91,2 km
Endhöhe: 75,0 km
Startposition: 60,392N 12,300E
Endposition: 60,358N 12,443E
Richtung: 115,4°
Neigungswinkel: 61,8°
Eintrittsgeschwindigkeit: 24,3 km/s
Rektaszension des Radianten: 18:53 (283,4°)
Deklination des Radianten: 58,7°
Meteorstrom: sporadisch
Bahnelemente des Meteoroiden:
Periheldistanz: 0,977 AU
Exzentrizität: 0,703
Inklination: 33,2°
Länge des aufsteigenden Knotens: 274,0°
Argument des Perihels: 170,1°
Mittlere Anomalie: 1,2°
Epoche: 2024 DEC 25 15:54:31
orbit plot

Nicht-interaktives Diagramm | Interaktives Diagramm

position vs time
speed and acceleration