🇳🇴 🇬🇧 🇩🇪 🇨🇿 🇫🇮

Meteor, poloha: Kolbotn 2024-12-30 21:08:15 UTC

Soubor KML  |  InteraktivnĂ­ mapa

Mapa zobrazuje dráhy meteoru. Světlejší čáry ukazují směry od pozorovacích stanic při objevení se meteoru a tmavší čáry, kde byl naposledy viděn. Modrá šipka značí viditelnou dráhu meteoru.

static map
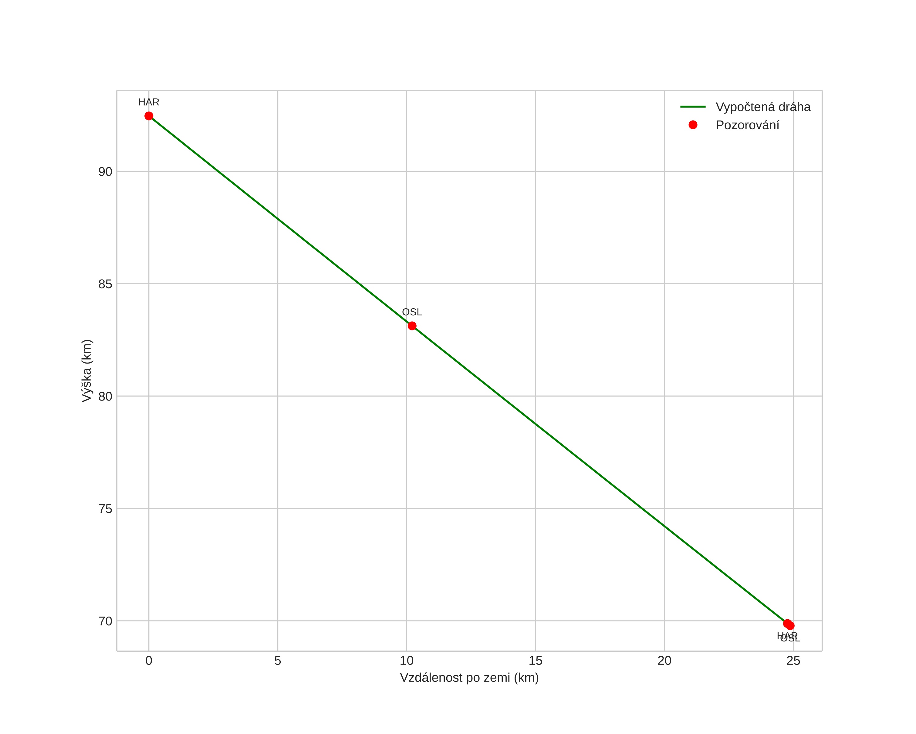
height profile
Atmosférická dráha meteoru:
Počáteční výška: 92,4 km
Konečná výška: 69,8 km
Počáteční poloha: 59,679N 11,213E
Konečná poloha: 59,773N 10,810E
Směr: 295,1°
Sklon: 42,3°
VstupnĂ­ rychlost: 34,6 km/s
Rektascenze radiantu: 07:42 (115,7°)
Deklinace radiantu: 23,9°
MeteorickĂ˝ roj: sporadickĂ˝
Elementy dráhy meteoroidu:
Vzdálenost v periheliu: 0,289 AU
Excentricita: 0,903
Sklon dráhy: 3,6°
Délka vzestupného uzlu: 279,3°
Argument perihelia: 299,3°
Střední anomálie: 352,6°
Epocha: 2024 DEC 30 21:08:15
orbit plot

NeinteraktivnĂ­ graf | InteraktivnĂ­ graf

position vs time
speed and acceleration