🇳🇴 🇬🇧 🇩🇪 🇨🇿 🇫🇮

Meteor über Kolbotn 2024-12-30 21:08:15 UTC

KML-Datei  |  Interaktive Karte

Die Karte zeigt die Peilungen für den Meteor. Die helleren Linien zeigen die Richtungen von den Beobachtungsorten beim Erscheinen des Meteors, und die dunkleren Linien, wo er zuletzt gesehen wurde. Der blaue Pfeil zeigt die sichtbare Bahn des Meteors.

static map
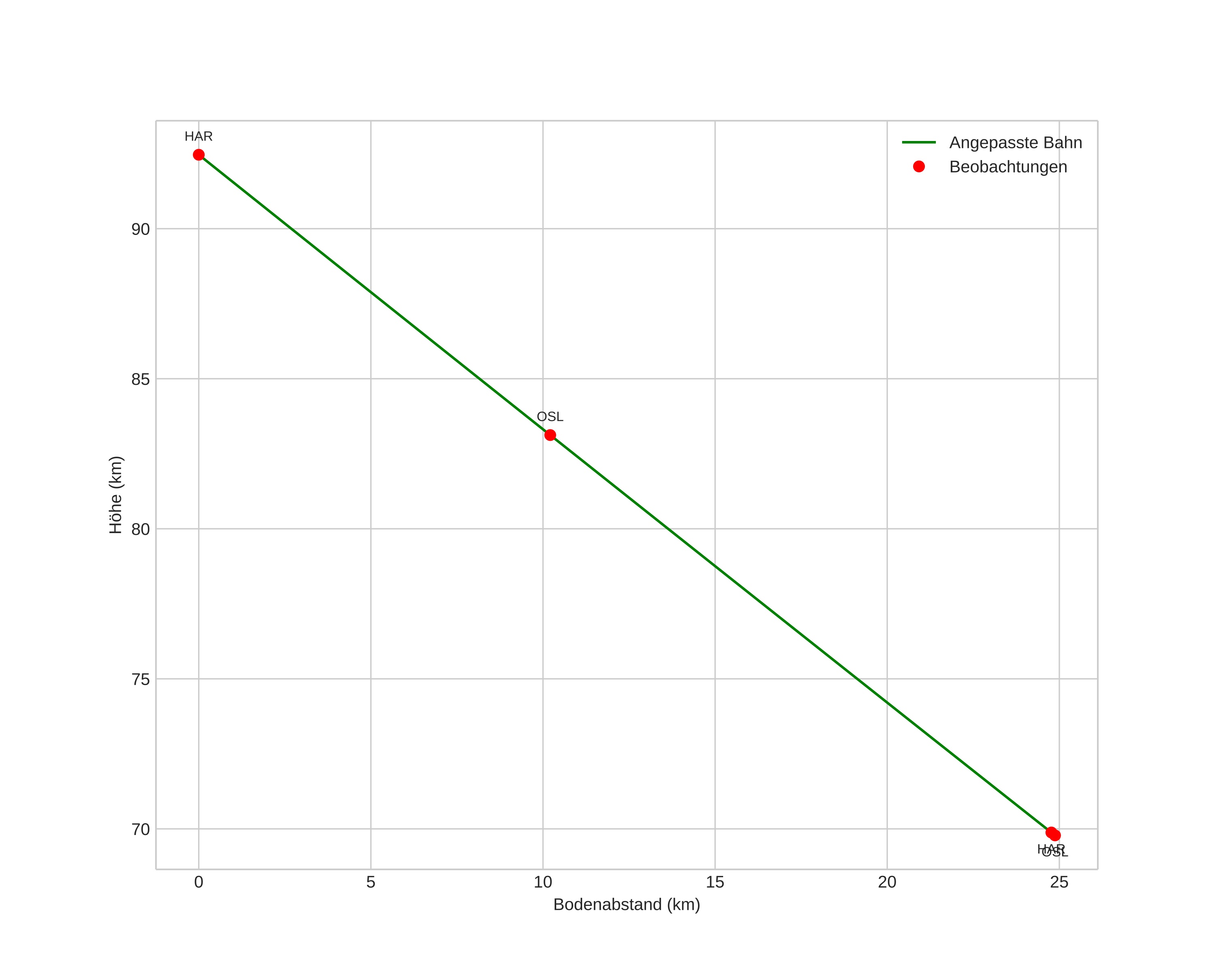
height profile
Atmosphärische Bahn des Meteors:
Anfangshöhe: 92,4 km
Endhöhe: 69,8 km
Startposition: 59,679N 11,213E
Endposition: 59,773N 10,810E
Richtung: 295,1°
Neigungswinkel: 42,3°
Eintrittsgeschwindigkeit: 34,6 km/s
Rektaszension des Radianten: 07:42 (115,7°)
Deklination des Radianten: 23,9°
Meteorstrom: sporadisch
Bahnelemente des Meteoroiden:
Periheldistanz: 0,289 AU
Exzentrizität: 0,903
Inklination: 3,6°
Länge des aufsteigenden Knotens: 279,3°
Argument des Perihels: 299,3°
Mittlere Anomalie: 352,6°
Epoche: 2024 DEC 30 21:08:15
orbit plot

Nicht-interaktives Diagramm | Interaktives Diagramm

position vs time
speed and acceleration