🇳🇴 🇬🇧 🇩🇪 🇨🇿 🇫🇮

Meteor Kolbotnin yllä 2024-12-30 21:08:15 UTC

KML-tiedosto  |  Interaktiivinen kartta

Kartta näyttää meteorin suuntahavainnot. Vaaleammat viivat näyttävät suunnat havaintoasemilta meteorin ilmestyessä, ja tummemmat viivat näyttävät, missä se viimeksi nähtiin. Sininen nuoli näyttää meteorin näkyvän lennon.

static map
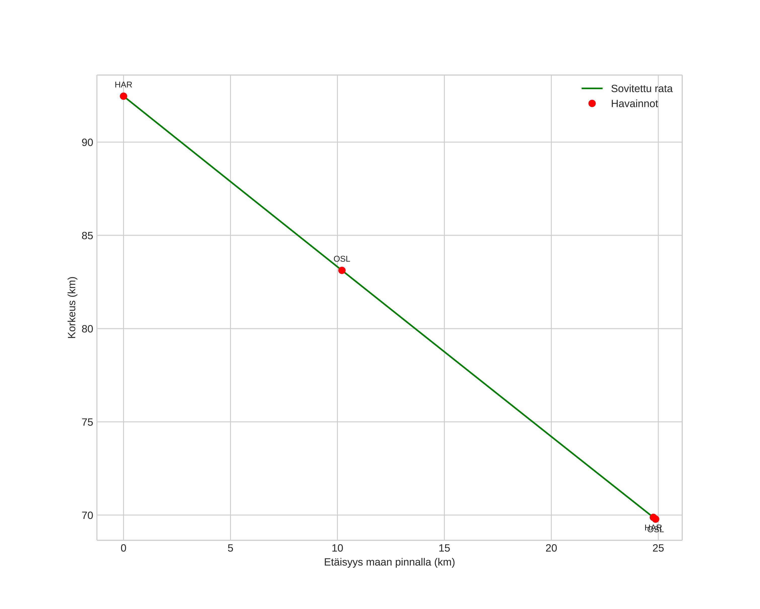
height profile
Meteorin ilmakehärata:
Alkukorkeus: 92,4 km
Loppukorkeus: 69,8 km
Alkupiste: 59,679N 11,213E
Loppupiste: 59,773N 10,810E
Suunta: 295,1°
Kallistuskulma: 42,3°
Tulonopeus: 34,6 km/s
Radiantin R,A,: 07:42 (115,7°)
Radiantin Dekl,: 23,9°
Meteoriparvi: Sporadinen
Meteoroidin rataelementit:
Perihelietäisyys: 0,289 AU
Eksentrisyys: 0,903
Inklinaatio: 3,6°
Nousevan solmun pituus: 279,3°
Perihelin argumentti: 299,3°
Keskianomalia: 352,6°
Epookki: 2024 DEC 30 21:08:15
orbit plot

Ei-interaktiivinen kuvaaja | Interaktiivinen kuvaaja

position vs time
speed and acceleration