🇳🇴 🇬🇧 🇩🇪 🇨🇿 🇫🇮

Meteor, poloha: Bjørkelangen 2025-01-02 00:01:23 UTC

Soubor KML  |  InteraktivnĂ­ mapa

Mapa zobrazuje dráhy meteoru. Světlejší čáry ukazují směry od pozorovacích stanic při objevení se meteoru a tmavší čáry, kde byl naposledy viděn. Modrá šipka značí viditelnou dráhu meteoru.

static map
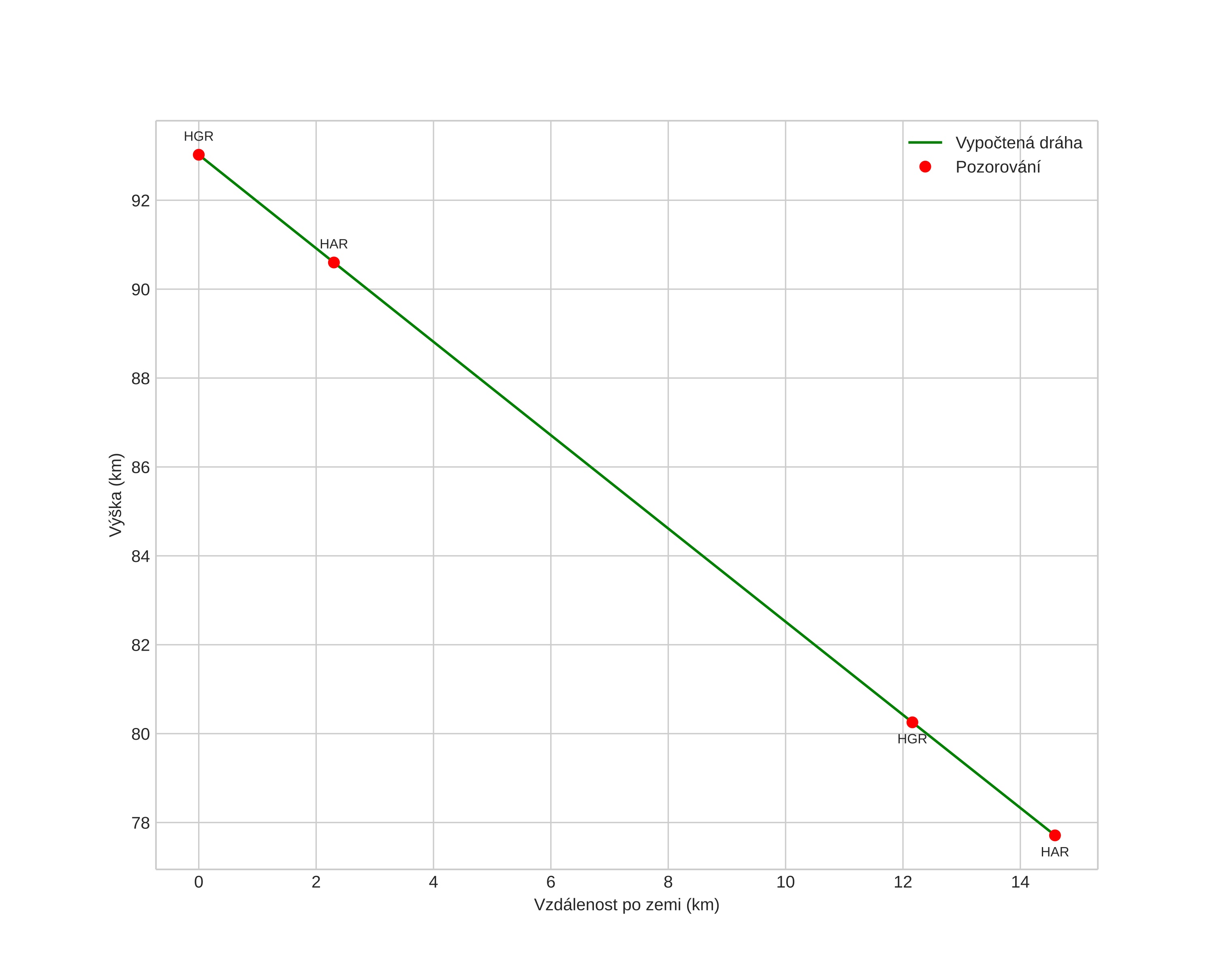
height profile
Atmosférická dráha meteoru:
Počáteční výška: 91,5 km
Konečná výška: 77,3 km
Počáteční poloha: 59,946N 11,455E
Konečná poloha: 59,806N 11,535E
Směr: 163,9°
Sklon: 41,3°
VstupnĂ­ rychlost: 16,2 km/s
Rektascenze radiantu: 21:36 (324,0°)
Deklinace radiantu: 60,8°
MeteorickĂ˝ roj: sporadickĂ˝
Elementy dráhy meteoroidu:
Vzdálenost v periheliu: 0,983 AU
Excentricita: 0,496
Sklon dráhy: 17,2°
Délka vzestupného uzlu: 281,5°
Argument perihelia: 180,3°
Střední anomálie: 359,9°
Epocha: 2025 JAN 02 00:01:23
orbit plot

NeinteraktivnĂ­ graf | InteraktivnĂ­ graf

position vs time
speed and acceleration