🇳🇴 🇬🇧 🇩🇪 🇨🇿 🇫🇮

Meteor Bjørkelangenin yllä 2025-01-02 00:01:23 UTC

KML-tiedosto  |  Interaktiivinen kartta

Kartta näyttää meteorin suuntahavainnot. Vaaleammat viivat näyttävät suunnat havaintoasemilta meteorin ilmestyessä, ja tummemmat viivat näyttävät, missä se viimeksi nähtiin. Sininen nuoli näyttää meteorin näkyvän lennon.

static map
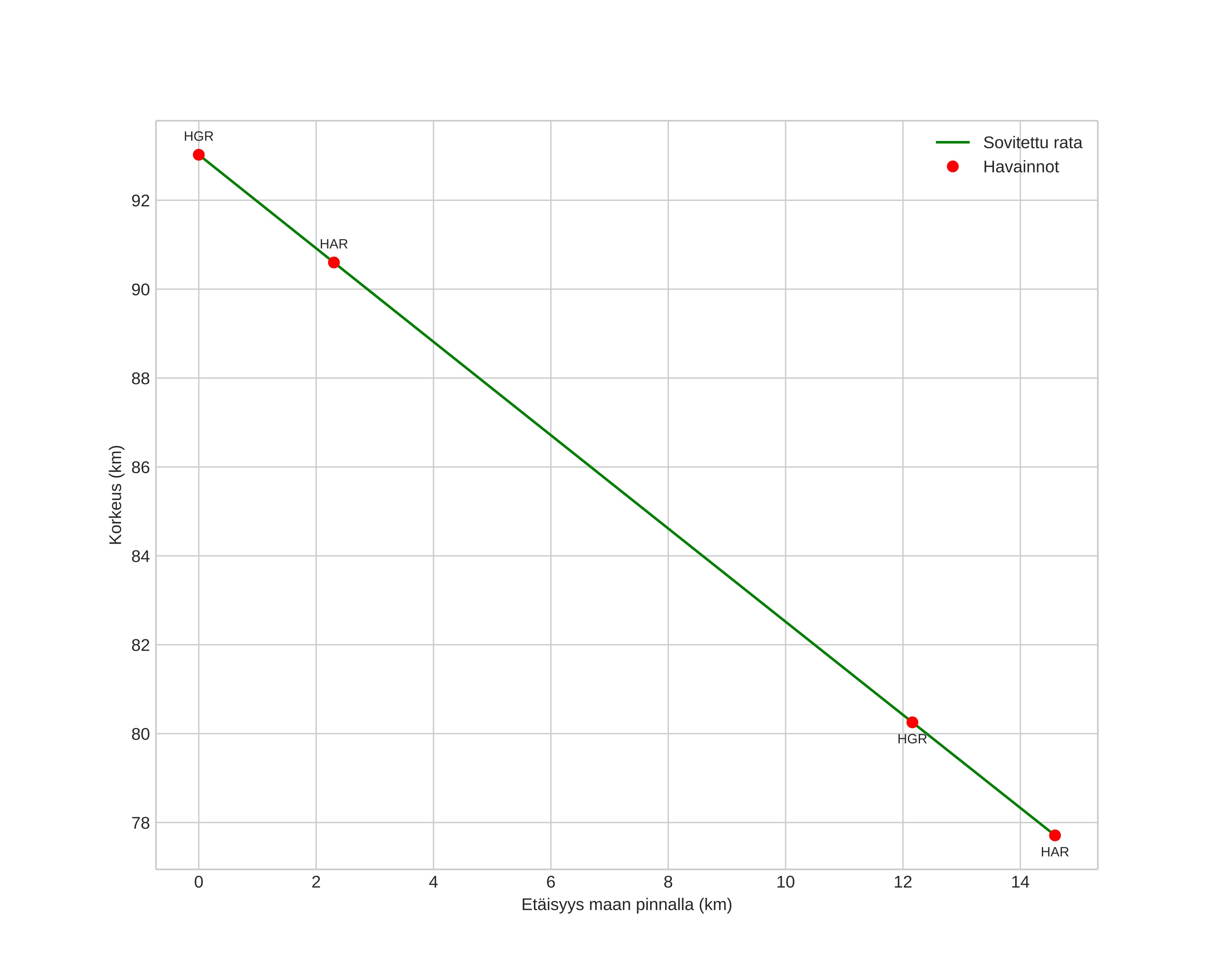
height profile
Meteorin ilmakehärata:
Alkukorkeus: 91,5 km
Loppukorkeus: 77,3 km
Alkupiste: 59,946N 11,455E
Loppupiste: 59,806N 11,535E
Suunta: 163,9°
Kallistuskulma: 41,3°
Tulonopeus: 16,2 km/s
Radiantin R,A,: 21:36 (324,0°)
Radiantin Dekl,: 60,8°
Meteoriparvi: Sporadinen
Meteoroidin rataelementit:
Perihelietäisyys: 0,983 AU
Eksentrisyys: 0,496
Inklinaatio: 17,2°
Nousevan solmun pituus: 281,5°
Perihelin argumentti: 180,3°
Keskianomalia: 359,9°
Epookki: 2025 JAN 02 00:01:23
orbit plot

Ei-interaktiivinen kuvaaja | Interaktiivinen kuvaaja

position vs time
speed and acceleration