🇳🇴 🇬🇧 🇩🇪 🇨🇿 🇫🇮

Meteor über Bjørkelangen 2025-01-02 00:01:23 UTC

KML-Datei  |  Interaktive Karte

Die Karte zeigt die Peilungen für den Meteor. Die helleren Linien zeigen die Richtungen von den Beobachtungsorten beim Erscheinen des Meteors, und die dunkleren Linien, wo er zuletzt gesehen wurde. Der blaue Pfeil zeigt die sichtbare Bahn des Meteors.

static map
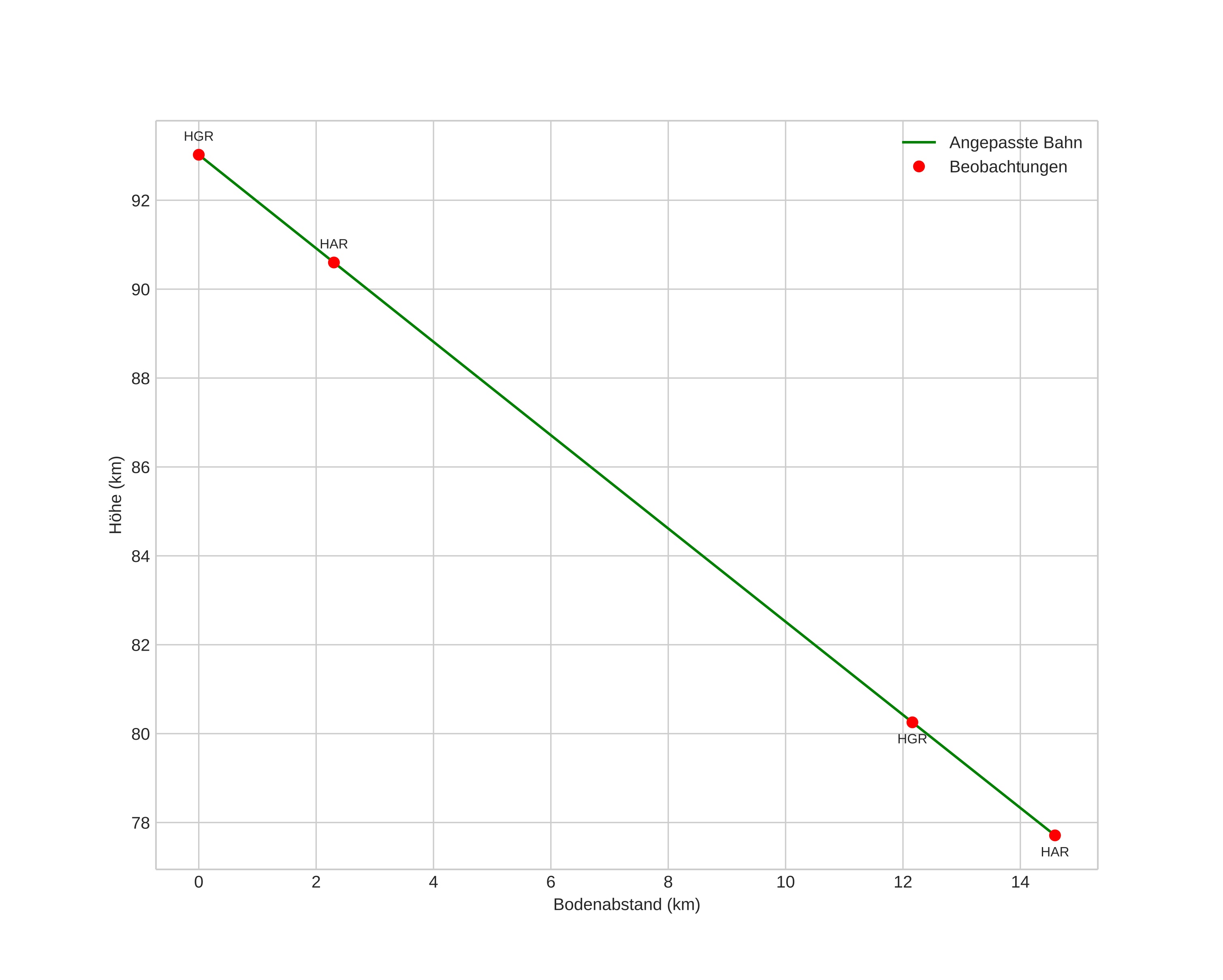
height profile
Atmosphärische Bahn des Meteors:
Anfangshöhe: 91,5 km
Endhöhe: 77,3 km
Startposition: 59,946N 11,455E
Endposition: 59,806N 11,535E
Richtung: 163,9°
Neigungswinkel: 41,3°
Eintrittsgeschwindigkeit: 16,2 km/s
Rektaszension des Radianten: 21:36 (324,0°)
Deklination des Radianten: 60,8°
Meteorstrom: sporadisch
Bahnelemente des Meteoroiden:
Periheldistanz: 0,983 AU
Exzentrizität: 0,496
Inklination: 17,2°
Länge des aufsteigenden Knotens: 281,5°
Argument des Perihels: 180,3°
Mittlere Anomalie: 359,9°
Epoche: 2025 JAN 02 00:01:23
orbit plot

Nicht-interaktives Diagramm | Interaktives Diagramm

position vs time
speed and acceleration