🇳🇴 🇬🇧 🇩🇪 🇨🇿 🇫🇮

Meteor, poloha: Skotterud 2025-01-05 01:52:11 UTC

Soubor KML  |  InteraktivnĂ­ mapa

Mapa zobrazuje dráhy meteoru. Světlejší čáry ukazují směry od pozorovacích stanic při objevení se meteoru a tmavší čáry, kde byl naposledy viděn. Modrá šipka značí viditelnou dráhu meteoru.

static map
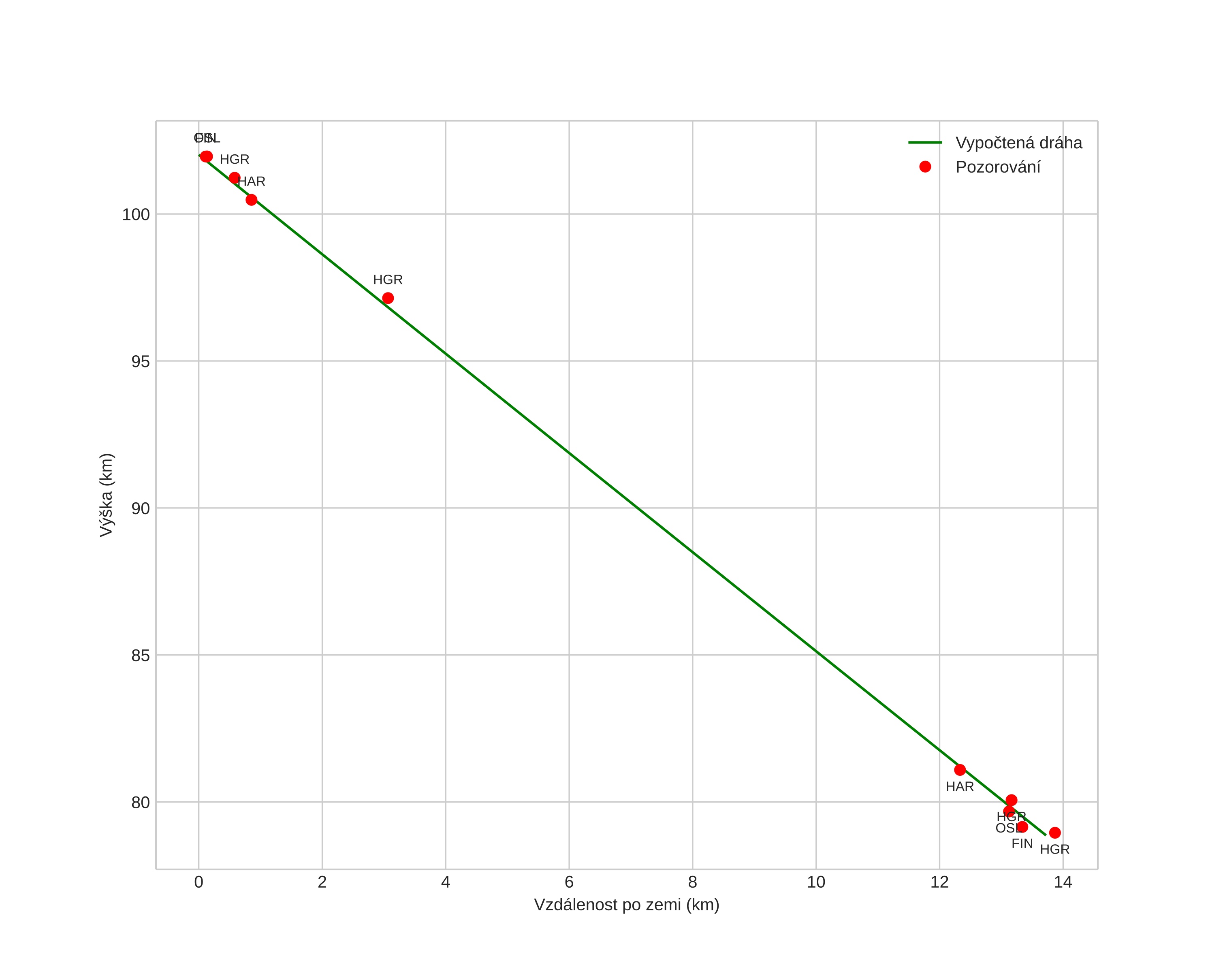
height profile
Atmosférická dráha meteoru:
Počáteční výška: 102,0 km
Konečná výška: 78,8 km
Počáteční poloha: 59,954N 11,848E
Konečná poloha: 60,026N 12,049E
Směr: 54,1°
Sklon: 59,3°
VstupnĂ­ rychlost: 33,9 km/s
Rektascenze radiantu: 07:29 (112,5°)
Deklinace radiantu: 35,5°
MeteorickĂ˝ roj: sporadickĂ˝
Elementy dráhy meteoroidu:
Vzdálenost v periheliu: 0,460 AU
Excentricita: 1,006
Sklon dráhy: 15,0°
Délka vzestupného uzlu: 284,6°
Argument perihelia: 273,5°
Střední anomálie: -0,1°
Epocha: 2025 JAN 05 01:52:11
orbit plot

NeinteraktivnĂ­ graf | InteraktivnĂ­ graf

position vs time
speed and acceleration

Harestua (HAR) cam7

fireball
gnomonic
Videa
• Gnomonická
• Původní
Obrázky
• Gnomonická
• Gnomonická se souřadnicemi
• Gnomonická s popisky
• Neopravená gnomonická s popisky
• Původní
Textové soubory
• Detekce
• Pozorování
• Souřadnice
• Protokol
Jasnost