🇳🇴 🇬🇧 🇩🇪 🇨🇿 🇫🇮

Meteor über Skotterud 2025-01-05 01:52:11 UTC

KML-Datei  |  Interaktive Karte

Die Karte zeigt die Peilungen für den Meteor. Die helleren Linien zeigen die Richtungen von den Beobachtungsorten beim Erscheinen des Meteors, und die dunkleren Linien, wo er zuletzt gesehen wurde. Der blaue Pfeil zeigt die sichtbare Bahn des Meteors.

static map
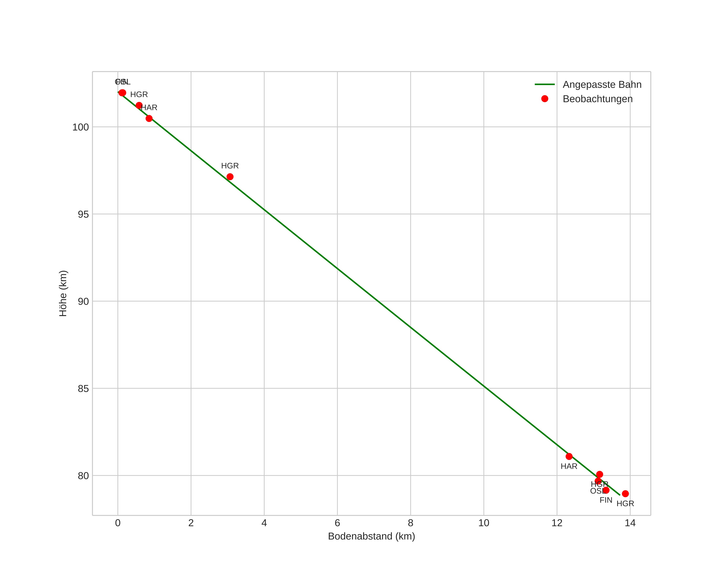
height profile
Atmosphärische Bahn des Meteors:
Anfangshöhe: 102,0 km
Endhöhe: 78,8 km
Startposition: 59,954N 11,848E
Endposition: 60,026N 12,049E
Richtung: 54,1°
Neigungswinkel: 59,3°
Eintrittsgeschwindigkeit: 33,9 km/s
Rektaszension des Radianten: 07:29 (112,5°)
Deklination des Radianten: 35,5°
Meteorstrom: sporadisch
Bahnelemente des Meteoroiden:
Periheldistanz: 0,460 AU
Exzentrizität: 1,006
Inklination: 15,0°
Länge des aufsteigenden Knotens: 284,6°
Argument des Perihels: 273,5°
Mittlere Anomalie: -0,1°
Epoche: 2025 JAN 05 01:52:11
orbit plot

Nicht-interaktives Diagramm | Interaktives Diagramm

position vs time
speed and acceleration

Harestua (HAR) cam7

fireball
gnomonic
Videos
• Gnomonisch
• Original
Bilder
• Gnomonisch
• Gnomonisch mit Koordinaten
• Gnomonisch mit Beschriftungen
• Unkorrigiert gnomonisch mit Beschriftungen
• Original
Textdateien
• Erkennung
• Beobachtung
• Koordinaten
• Protokoll
Helligkeit