🇳🇴 🇬🇧 🇩🇪 🇨🇿 🇫🇮

Meteor Skotterudin yllä 2025-01-05 01:52:11 UTC

KML-tiedosto  |  Interaktiivinen kartta

Kartta näyttää meteorin suuntahavainnot. Vaaleammat viivat näyttävät suunnat havaintoasemilta meteorin ilmestyessä, ja tummemmat viivat näyttävät, missä se viimeksi nähtiin. Sininen nuoli näyttää meteorin näkyvän lennon.

static map
height profile
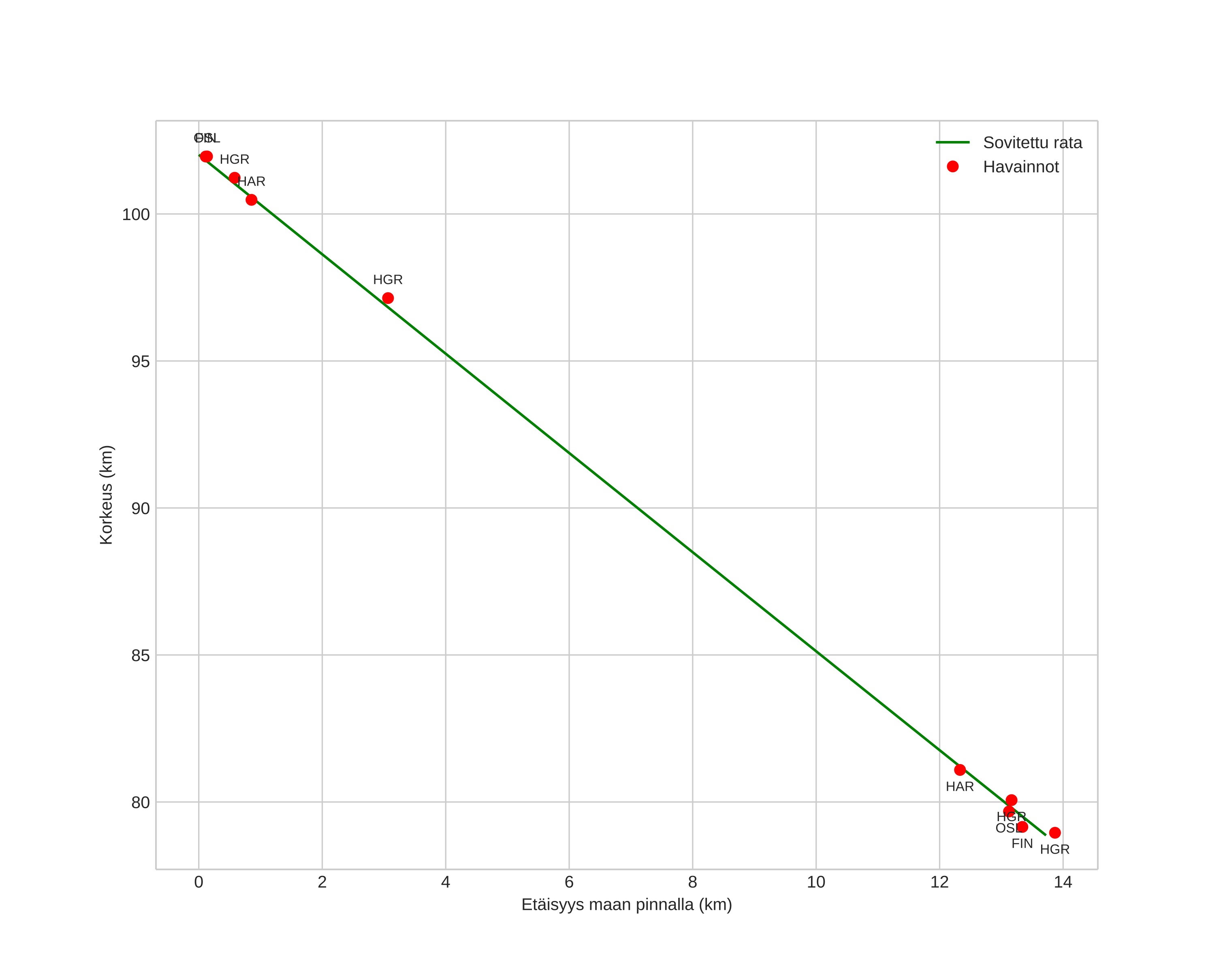
Meteorin ilmakehärata:
Alkukorkeus: 102,0 km
Loppukorkeus: 78,8 km
Alkupiste: 59,954N 11,848E
Loppupiste: 60,026N 12,049E
Suunta: 54,1°
Kallistuskulma: 59,3°
Tulonopeus: 33,9 km/s
Radiantin R,A,: 07:29 (112,5°)
Radiantin Dekl,: 35,5°
Meteoriparvi: Sporadinen
Meteoroidin rataelementit:
Perihelietäisyys: 0,460 AU
Eksentrisyys: 1,006
Inklinaatio: 15,0°
Nousevan solmun pituus: 284,6°
Perihelin argumentti: 273,5°
Keskianomalia: -0,1°
Epookki: 2025 JAN 05 01:52:11
orbit plot

Ei-interaktiivinen kuvaaja | Interaktiivinen kuvaaja

position vs time
speed and acceleration

Harestua (HAR) cam7

fireball
gnomonic
Videot:
• Gnomoninen
• Alkuperäinen
Kuvat:
• Gnomoninen
• Gnomoninen koordinaateilla
• Gnomoninen merkinnöillä
• Korjaamaton gnomoninen merkinnöillä
• Alkuperäinen
Tekstitiedostot:
• Havaintoraportti
• Observaatio
• Koordinaatit
• Loki
Kirkkaus