🇳🇴 🇬🇧 🇩🇪 🇨🇿 🇫🇮

Meteor, poloha: Rättvik 2025-01-12 03:41:22 UTC

Soubor KML  |  InteraktivnĂ­ mapa

Mapa zobrazuje dráhy meteoru. Světlejší čáry ukazují směry od pozorovacích stanic při objevení se meteoru a tmavší čáry, kde byl naposledy viděn. Modrá šipka značí viditelnou dráhu meteoru.

static map
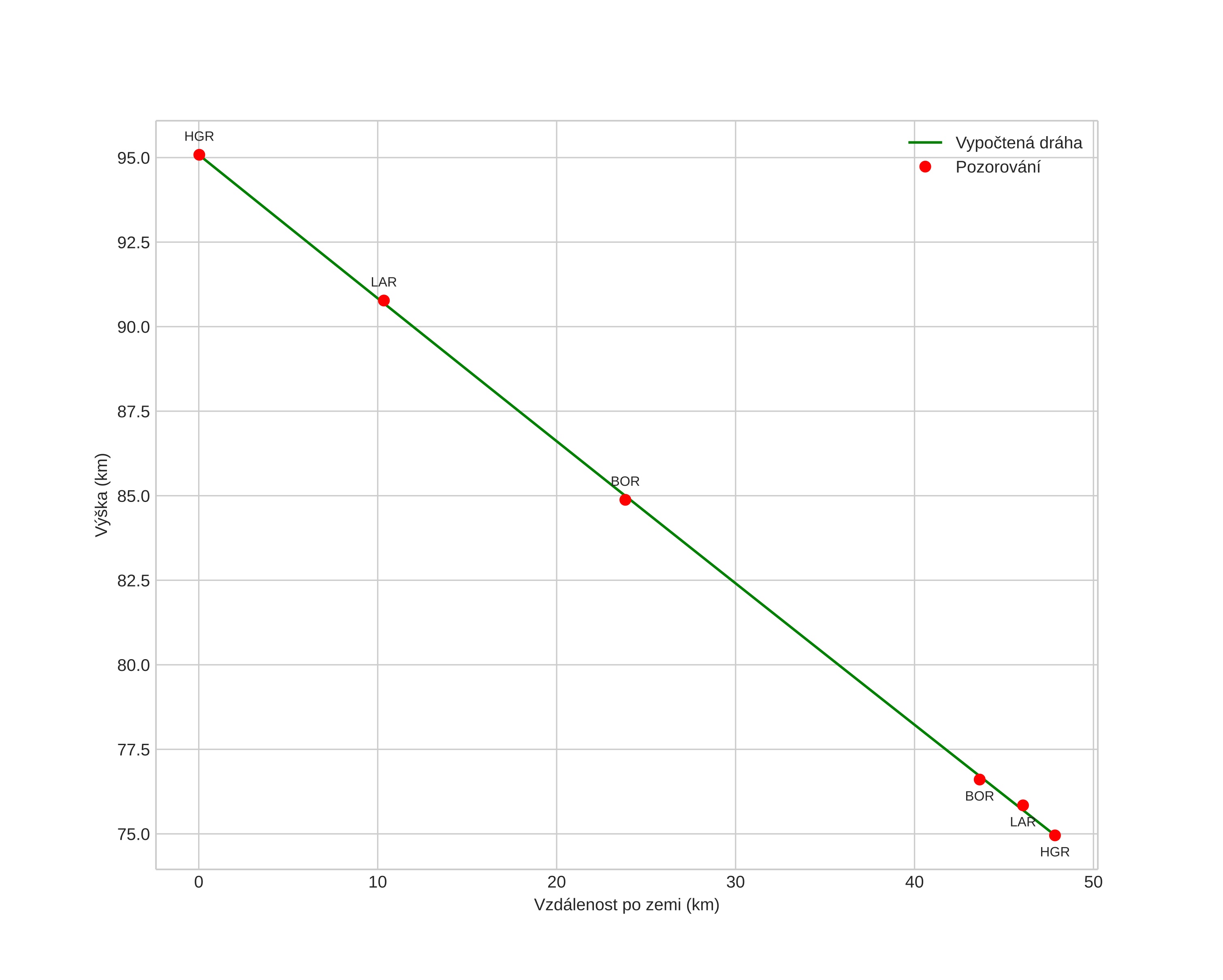
height profile
Atmosférická dráha meteoru:
Počáteční výška: 95,1 km
Konečná výška: 75,1 km
Počáteční poloha: 60,771N 14,204E
Konečná poloha: 60,810N 15,083E
Směr: 84,3°
Sklon: 22,7°
VstupnĂ­ rychlost: 22,8 km/s
Rektascenze radiantu: 06:58 (104,5°)
Deklinace radiantu: 12,4°
MeteorickĂ˝ roj: sporadickĂ˝
Elementy dráhy meteoroidu:
Vzdálenost v periheliu: 0,680 AU
Excentricita: 0,749
Sklon dráhy: 6,3°
Délka vzestupného uzlu: 111,9°
Argument perihelia: 73,7°
Střední anomálie: 350,8°
Epocha: 2025 JAN 12 03:41:22
orbit plot

NeinteraktivnĂ­ graf | InteraktivnĂ­ graf

position vs time
speed and acceleration