🇳🇴 🇬🇧 🇩🇪 🇨🇿 🇫🇮

Meteor über Rättvik 2025-01-12 03:41:22 UTC

KML-Datei  |  Interaktive Karte

Die Karte zeigt die Peilungen für den Meteor. Die helleren Linien zeigen die Richtungen von den Beobachtungsorten beim Erscheinen des Meteors, und die dunkleren Linien, wo er zuletzt gesehen wurde. Der blaue Pfeil zeigt die sichtbare Bahn des Meteors.

static map
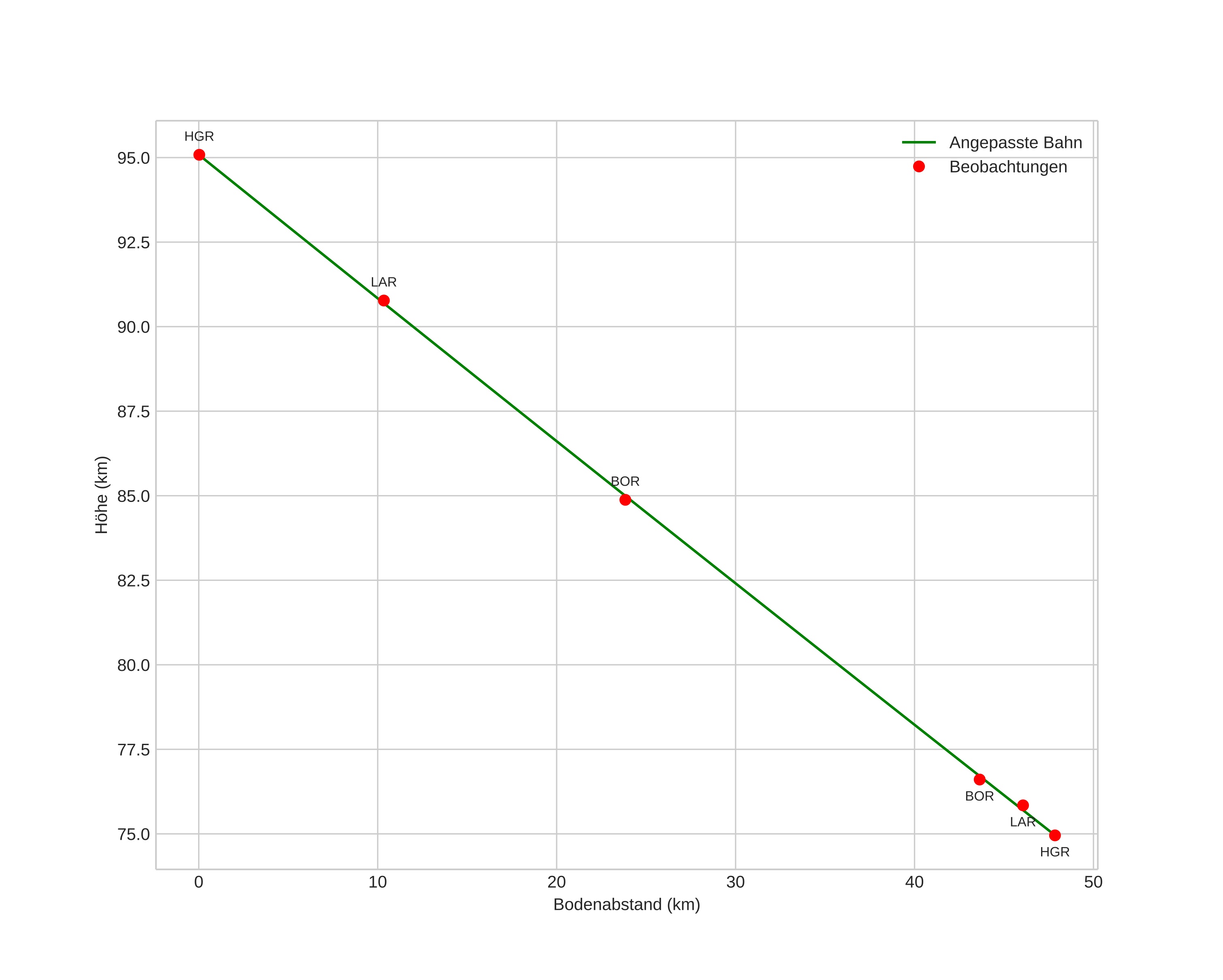
height profile
Atmosphärische Bahn des Meteors:
Anfangshöhe: 95,1 km
Endhöhe: 75,1 km
Startposition: 60,771N 14,204E
Endposition: 60,810N 15,083E
Richtung: 84,3°
Neigungswinkel: 22,7°
Eintrittsgeschwindigkeit: 22,8 km/s
Rektaszension des Radianten: 06:58 (104,5°)
Deklination des Radianten: 12,4°
Meteorstrom: sporadisch
Bahnelemente des Meteoroiden:
Periheldistanz: 0,680 AU
Exzentrizität: 0,749
Inklination: 6,3°
Länge des aufsteigenden Knotens: 111,9°
Argument des Perihels: 73,7°
Mittlere Anomalie: 350,8°
Epoche: 2025 JAN 12 03:41:22
orbit plot

Nicht-interaktives Diagramm | Interaktives Diagramm

position vs time
speed and acceleration