🇳🇴 🇬🇧 🇩🇪 🇨🇿 🇫🇮

Meteor Rättvikin yllä 2025-01-12 03:41:22 UTC

KML-tiedosto  |  Interaktiivinen kartta

Kartta näyttää meteorin suuntahavainnot. Vaaleammat viivat näyttävät suunnat havaintoasemilta meteorin ilmestyessä, ja tummemmat viivat näyttävät, missä se viimeksi nähtiin. Sininen nuoli näyttää meteorin näkyvän lennon.

static map
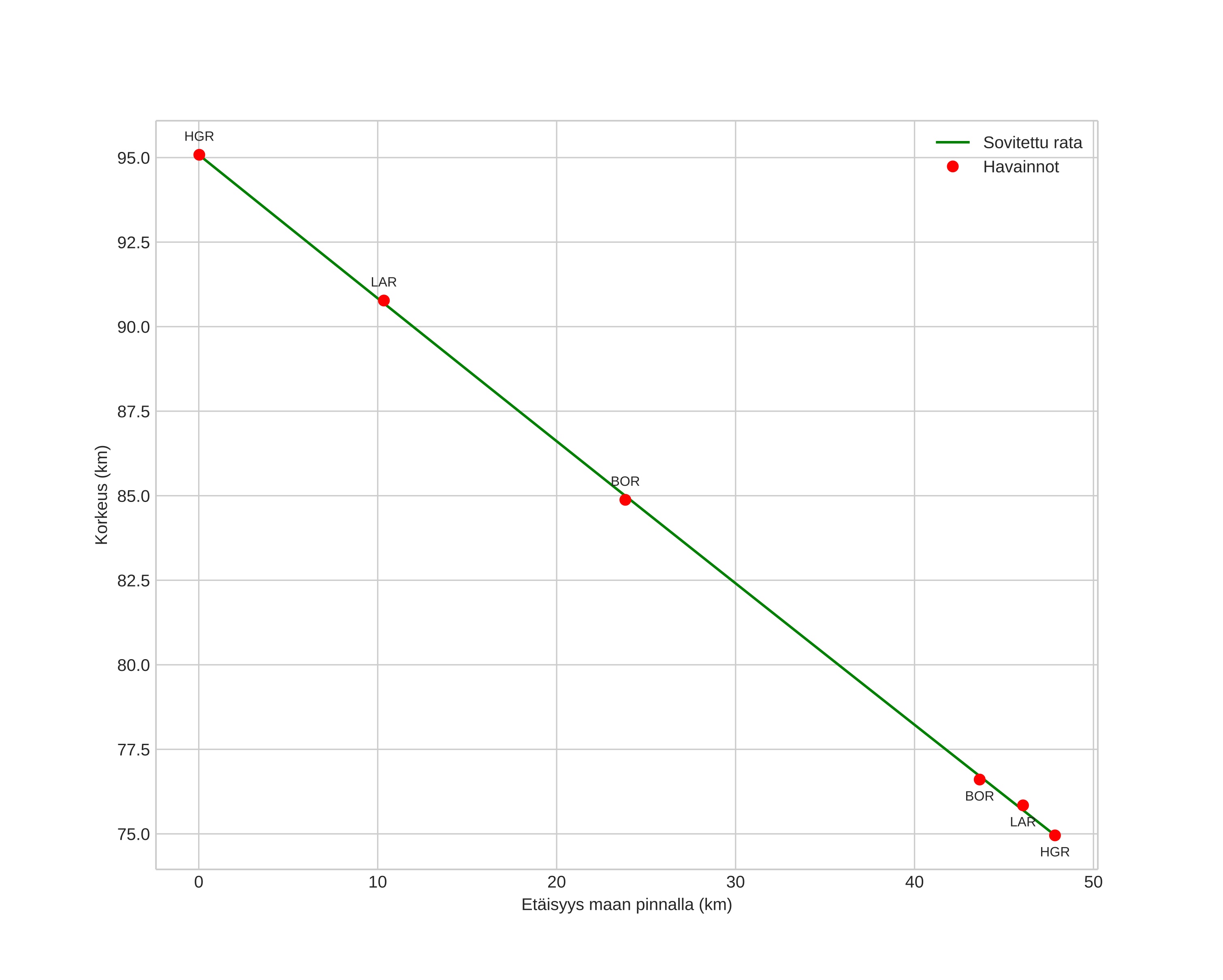
height profile
Meteorin ilmakehärata:
Alkukorkeus: 95,1 km
Loppukorkeus: 75,1 km
Alkupiste: 60,771N 14,204E
Loppupiste: 60,810N 15,083E
Suunta: 84,3°
Kallistuskulma: 22,7°
Tulonopeus: 22,8 km/s
Radiantin R,A,: 06:58 (104,5°)
Radiantin Dekl,: 12,4°
Meteoriparvi: Sporadinen
Meteoroidin rataelementit:
Perihelietäisyys: 0,680 AU
Eksentrisyys: 0,749
Inklinaatio: 6,3°
Nousevan solmun pituus: 111,9°
Perihelin argumentti: 73,7°
Keskianomalia: 350,8°
Epookki: 2025 JAN 12 03:41:22
orbit plot

Ei-interaktiivinen kuvaaja | Interaktiivinen kuvaaja

position vs time
speed and acceleration