🇳🇴 🇬🇧 🇩🇪 🇨🇿 🇫🇮

Meteor, poloha: Tanumshede 2025-01-14 16:56:26 UTC

Soubor KML  |  InteraktivnĂ­ mapa

Mapa zobrazuje dráhy meteoru. Světlejší čáry ukazují směry od pozorovacích stanic při objevení se meteoru a tmavší čáry, kde byl naposledy viděn. Modrá šipka značí viditelnou dráhu meteoru.

static map
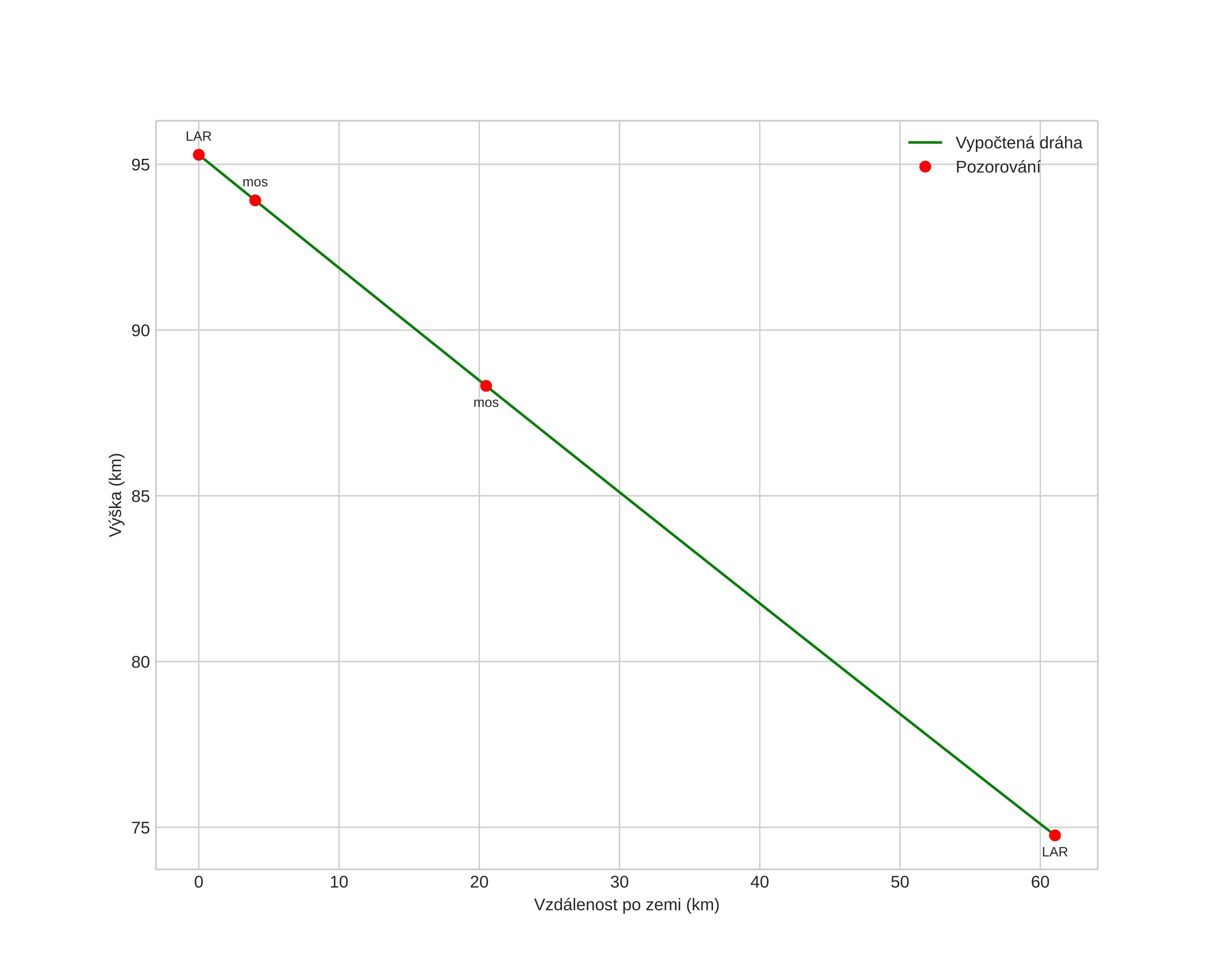
height profile
Atmosférická dráha meteoru:
Počáteční výška: 95,3 km
Konečná výška: 74,8 km
Počáteční poloha: 58,500N 10,375E
Konečná poloha: 58,677N 11,372E
Směr: 70,7°
Sklon: 18,6°
VstupnĂ­ rychlost: 20,5 km/s
Rektascenze radiantu: 20:42 (310,6°)
Deklinace radiantu: -0,0°
MeteorickĂ˝ roj: sporadickĂ˝
Elementy dráhy meteoroidu:
Vzdálenost v periheliu: 0,798 AU
Excentricita: 0,769
Sklon dráhy: 8,4°
Délka vzestupného uzlu: 294,4°
Argument perihelia: 124,5°
Střední anomálie: 5,4°
Epocha: 2025 JAN 14 16:56:26
orbit plot

NeinteraktivnĂ­ graf | InteraktivnĂ­ graf

position vs time
speed and acceleration