🇳🇴 🇬🇧 🇩🇪 🇨🇿 🇫🇮

Meteor Tanumsheden yllä 2025-01-14 16:56:26 UTC

KML-tiedosto  |  Interaktiivinen kartta

Kartta näyttää meteorin suuntahavainnot. Vaaleammat viivat näyttävät suunnat havaintoasemilta meteorin ilmestyessä, ja tummemmat viivat näyttävät, missä se viimeksi nähtiin. Sininen nuoli näyttää meteorin näkyvän lennon.

static map
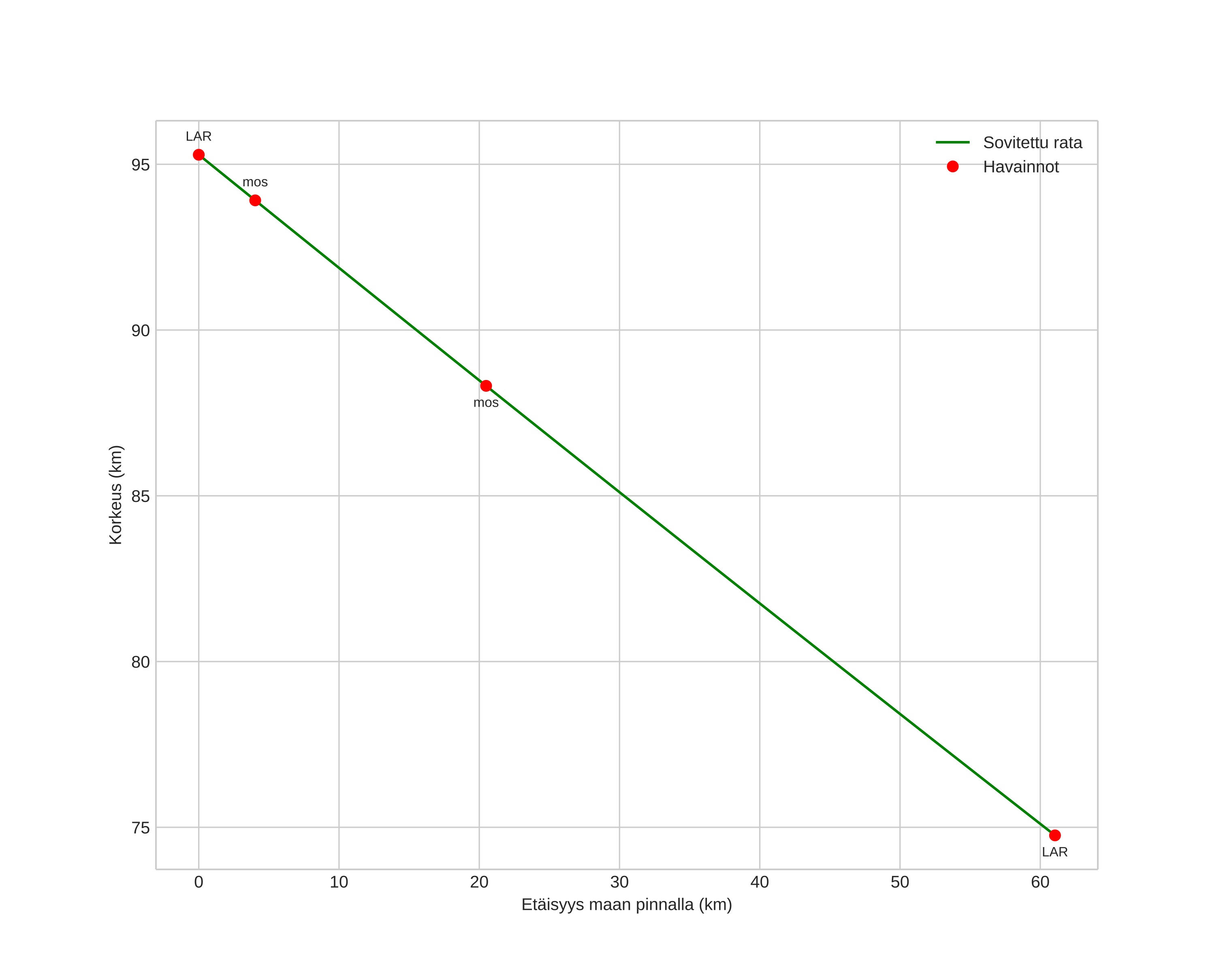
height profile
Meteorin ilmakehärata:
Alkukorkeus: 95,3 km
Loppukorkeus: 74,8 km
Alkupiste: 58,500N 10,375E
Loppupiste: 58,677N 11,372E
Suunta: 70,7°
Kallistuskulma: 18,6°
Tulonopeus: 20,5 km/s
Radiantin R,A,: 20:42 (310,6°)
Radiantin Dekl,: -0,0°
Meteoriparvi: Sporadinen
Meteoroidin rataelementit:
Perihelietäisyys: 0,798 AU
Eksentrisyys: 0,769
Inklinaatio: 8,4°
Nousevan solmun pituus: 294,4°
Perihelin argumentti: 124,5°
Keskianomalia: 5,4°
Epookki: 2025 JAN 14 16:56:26
orbit plot

Ei-interaktiivinen kuvaaja | Interaktiivinen kuvaaja

position vs time
speed and acceleration