🇳🇴 🇬🇧 🇩🇪 🇨🇿 🇫🇮

Meteor über Tanumshede 2025-01-14 16:56:26 UTC

KML-Datei  |  Interaktive Karte

Die Karte zeigt die Peilungen für den Meteor. Die helleren Linien zeigen die Richtungen von den Beobachtungsorten beim Erscheinen des Meteors, und die dunkleren Linien, wo er zuletzt gesehen wurde. Der blaue Pfeil zeigt die sichtbare Bahn des Meteors.

static map
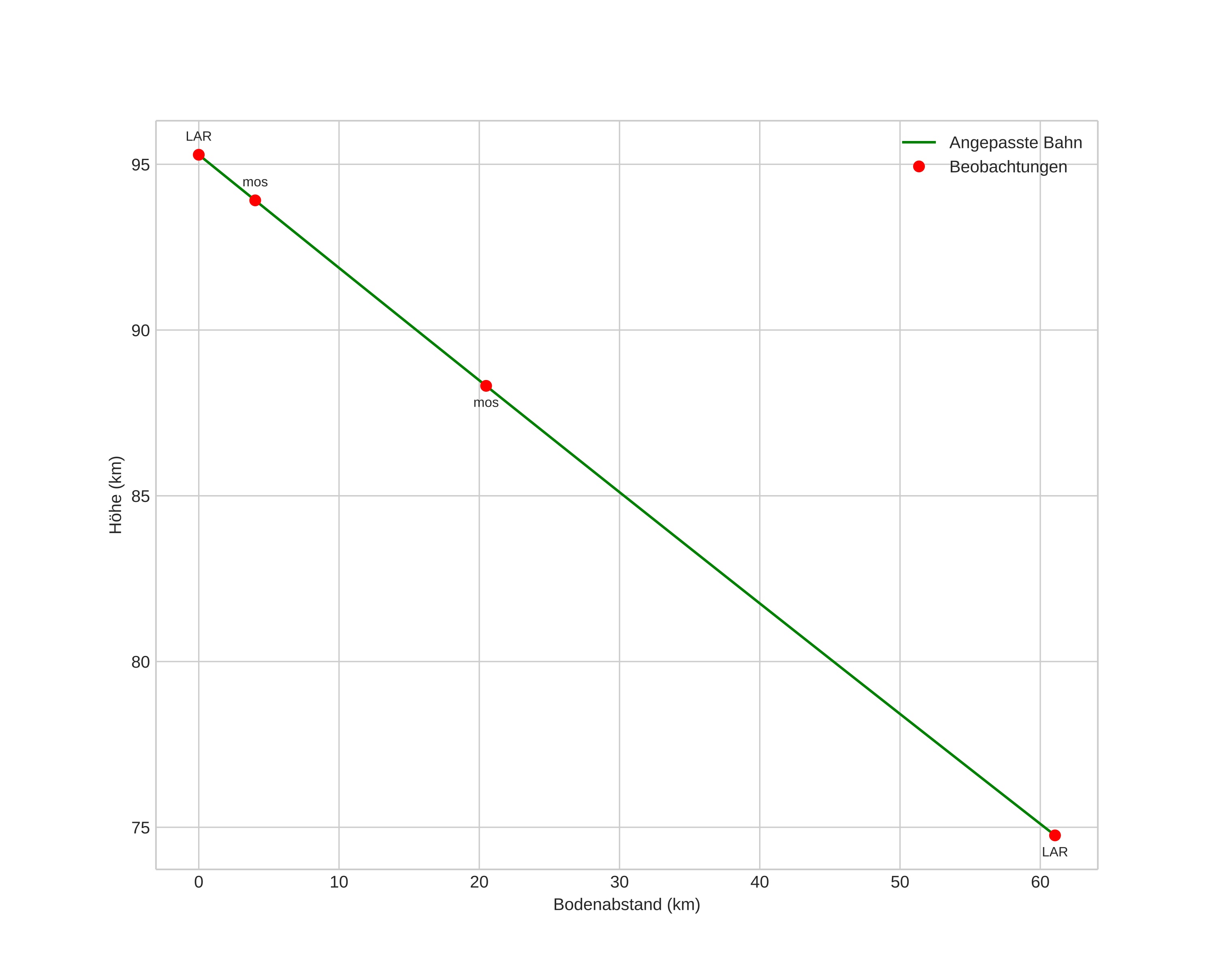
height profile
Atmosphärische Bahn des Meteors:
Anfangshöhe: 95,3 km
Endhöhe: 74,8 km
Startposition: 58,500N 10,375E
Endposition: 58,677N 11,372E
Richtung: 70,7°
Neigungswinkel: 18,6°
Eintrittsgeschwindigkeit: 20,5 km/s
Rektaszension des Radianten: 20:42 (310,6°)
Deklination des Radianten: -0,0°
Meteorstrom: sporadisch
Bahnelemente des Meteoroiden:
Periheldistanz: 0,798 AU
Exzentrizität: 0,769
Inklination: 8,4°
Länge des aufsteigenden Knotens: 294,4°
Argument des Perihels: 124,5°
Mittlere Anomalie: 5,4°
Epoche: 2025 JAN 14 16:56:26
orbit plot

Nicht-interaktives Diagramm | Interaktives Diagramm

position vs time
speed and acceleration