🇳🇴 🇬🇧 🇩🇪 🇨🇿 🇫🇮

Meteor, poloha: Maura 2025-01-14 21:30:09 UTC

Soubor KML  |  InteraktivnĂ­ mapa

Mapa zobrazuje dráhy meteoru. Světlejší čáry ukazují směry od pozorovacích stanic při objevení se meteoru a tmavší čáry, kde byl naposledy viděn. Modrá šipka značí viditelnou dráhu meteoru.

static map
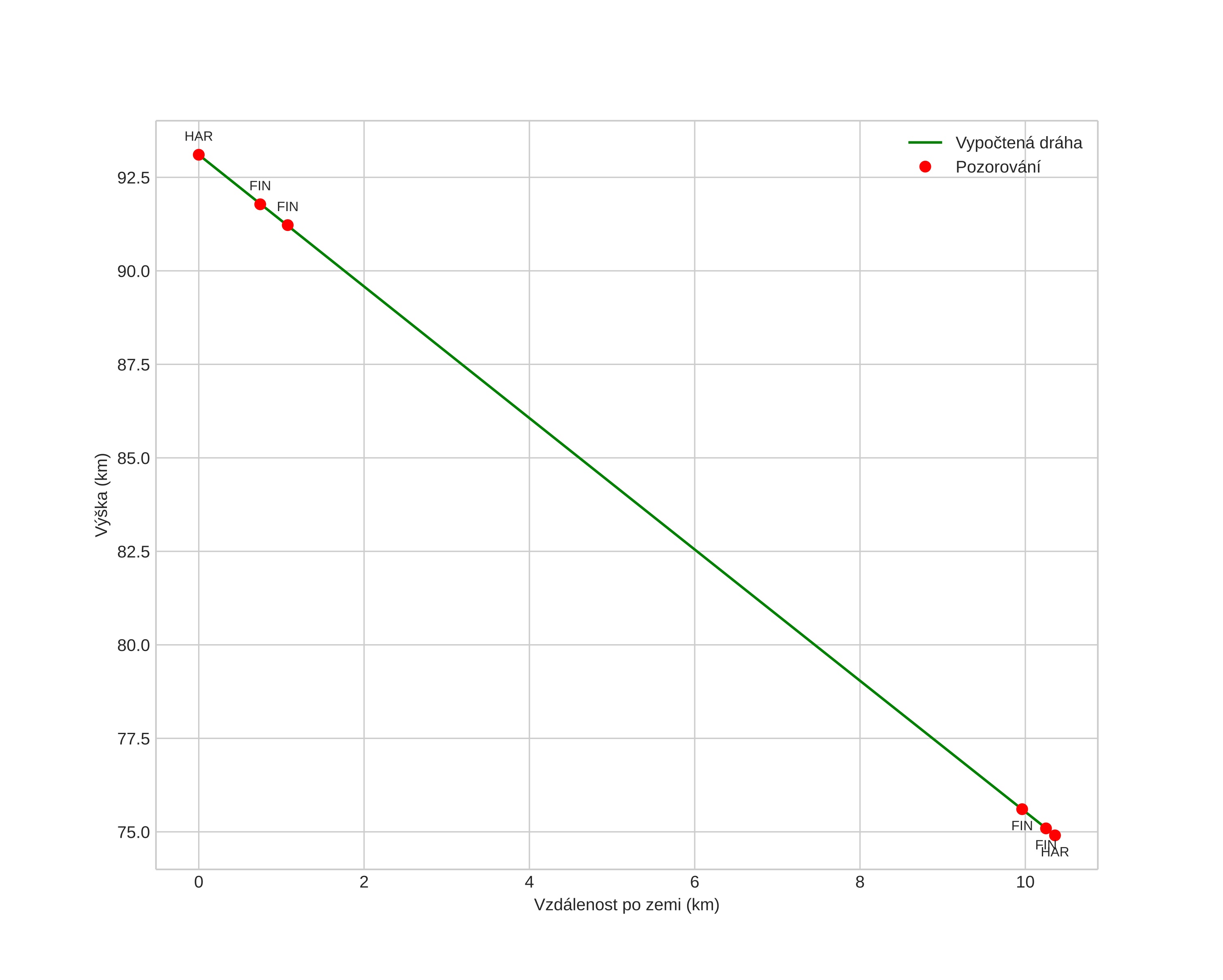
height profile
Atmosférická dráha meteoru:
Počáteční výška: 93,5 km
Konečná výška: 75,0 km
Počáteční poloha: 60,251N 11,134E
Konečná poloha: 60,339N 11,067E
Směr: 339,3°
Sklon: 60,5°
VstupnĂ­ rychlost: 18,4 km/s
Rektascenze radiantu: 06:37 (99,5°)
Deklinace radiantu: 28,4°
MeteorickĂ˝ roj: sporadickĂ˝
Elementy dráhy meteoroidu:
Vzdálenost v periheliu: 0,799 AU
Excentricita: 0,612
Sklon dráhy: 2,2°
Délka vzestupného uzlu: 294,6°
Argument perihelia: 239,7°
Střední anomálie: 346,9°
Epocha: 2025 JAN 14 21:30:09
orbit plot

NeinteraktivnĂ­ graf | InteraktivnĂ­ graf

position vs time
speed and acceleration