🇳🇴 🇬🇧 🇩🇪 🇨🇿 🇫🇮

Meteor über Maura 2025-01-14 21:30:09 UTC

KML-Datei  |  Interaktive Karte

Die Karte zeigt die Peilungen für den Meteor. Die helleren Linien zeigen die Richtungen von den Beobachtungsorten beim Erscheinen des Meteors, und die dunkleren Linien, wo er zuletzt gesehen wurde. Der blaue Pfeil zeigt die sichtbare Bahn des Meteors.

static map
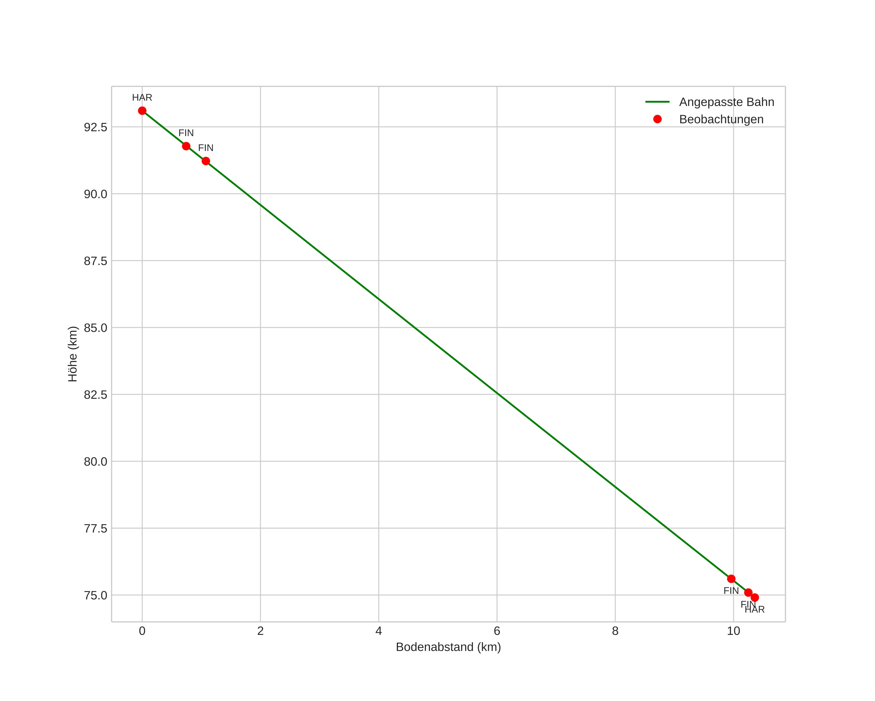
height profile
Atmosphärische Bahn des Meteors:
Anfangshöhe: 93,5 km
Endhöhe: 75,0 km
Startposition: 60,251N 11,134E
Endposition: 60,339N 11,067E
Richtung: 339,3°
Neigungswinkel: 60,5°
Eintrittsgeschwindigkeit: 18,4 km/s
Rektaszension des Radianten: 06:37 (99,5°)
Deklination des Radianten: 28,4°
Meteorstrom: sporadisch
Bahnelemente des Meteoroiden:
Periheldistanz: 0,799 AU
Exzentrizität: 0,612
Inklination: 2,2°
Länge des aufsteigenden Knotens: 294,6°
Argument des Perihels: 239,7°
Mittlere Anomalie: 346,9°
Epoche: 2025 JAN 14 21:30:09
orbit plot

Nicht-interaktives Diagramm | Interaktives Diagramm

position vs time
speed and acceleration