🇳🇴 🇬🇧 🇩🇪 🇨🇿 🇫🇮

Meteor Mauran yllä 2025-01-14 21:30:09 UTC

KML-tiedosto  |  Interaktiivinen kartta

Kartta näyttää meteorin suuntahavainnot. Vaaleammat viivat näyttävät suunnat havaintoasemilta meteorin ilmestyessä, ja tummemmat viivat näyttävät, missä se viimeksi nähtiin. Sininen nuoli näyttää meteorin näkyvän lennon.

static map
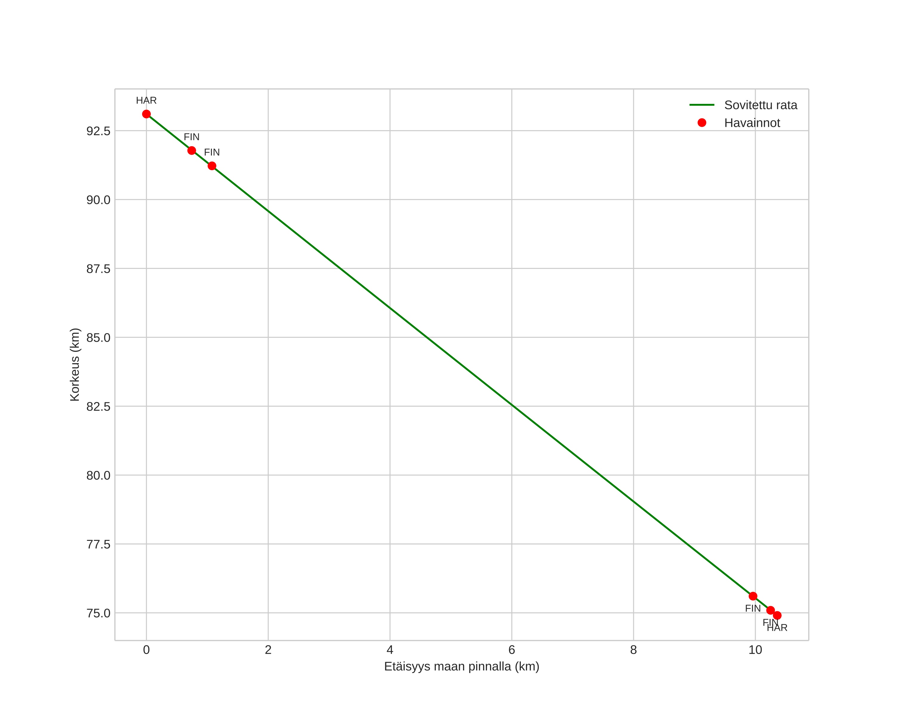
height profile
Meteorin ilmakehärata:
Alkukorkeus: 93,5 km
Loppukorkeus: 75,0 km
Alkupiste: 60,251N 11,134E
Loppupiste: 60,339N 11,067E
Suunta: 339,3°
Kallistuskulma: 60,5°
Tulonopeus: 18,4 km/s
Radiantin R,A,: 06:37 (99,5°)
Radiantin Dekl,: 28,4°
Meteoriparvi: Sporadinen
Meteoroidin rataelementit:
Perihelietäisyys: 0,799 AU
Eksentrisyys: 0,612
Inklinaatio: 2,2°
Nousevan solmun pituus: 294,6°
Perihelin argumentti: 239,7°
Keskianomalia: 346,9°
Epookki: 2025 JAN 14 21:30:09
orbit plot

Ei-interaktiivinen kuvaaja | Interaktiivinen kuvaaja

position vs time
speed and acceleration