🇳🇴 🇬🇧 🇩🇪 🇨🇿 🇫🇮

Meteor, poloha: Evenskjer 2025-01-24 23:08:58 UTC

Soubor KML  |  InteraktivnĂ­ mapa

Mapa zobrazuje dráhy meteoru. Světlejší čáry ukazují směry od pozorovacích stanic při objevení se meteoru a tmavší čáry, kde byl naposledy viděn. Modrá šipka značí viditelnou dráhu meteoru.

static map
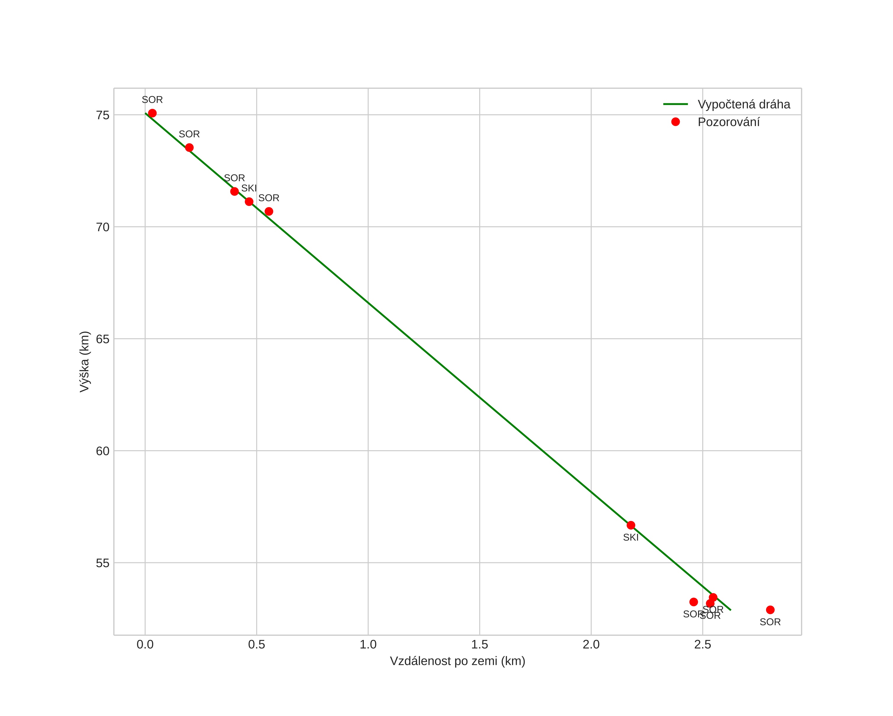
height profile
Atmosférická dráha meteoru:
Počáteční výška: 76,6 km
Konečná výška: 53,2 km
Počáteční poloha: 68,561N 16,668E
Konečná poloha: 68,539N 16,702E
Směr: 149,6°
Sklon: 83,3°
VstupnĂ­ rychlost: 18,4 km/s
Rektascenze radiantu: 07:25 (111,3°)
Deklinace radiantu: 74,3°
MeteorickĂ˝ roj: sporadickĂ˝
Elementy dráhy meteoroidu:
Vzdálenost v periheliu: 0,919 AU
Excentricita: 0,550
Sklon dráhy: 18,5°
Délka vzestupného uzlu: 304,9°
Argument perihelia: 215,7°
Střední anomálie: 350,9°
Epocha: 2025 JAN 24 23:08:58
orbit plot

NeinteraktivnĂ­ graf | InteraktivnĂ­ graf

position vs time
speed and acceleration