🇳🇴 🇬🇧 🇩🇪 🇨🇿 🇫🇮

Meteor Evenskjerin yllä 2025-01-24 23:08:58 UTC

KML-tiedosto  |  Interaktiivinen kartta

Kartta näyttää meteorin suuntahavainnot. Vaaleammat viivat näyttävät suunnat havaintoasemilta meteorin ilmestyessä, ja tummemmat viivat näyttävät, missä se viimeksi nähtiin. Sininen nuoli näyttää meteorin näkyvän lennon.

static map
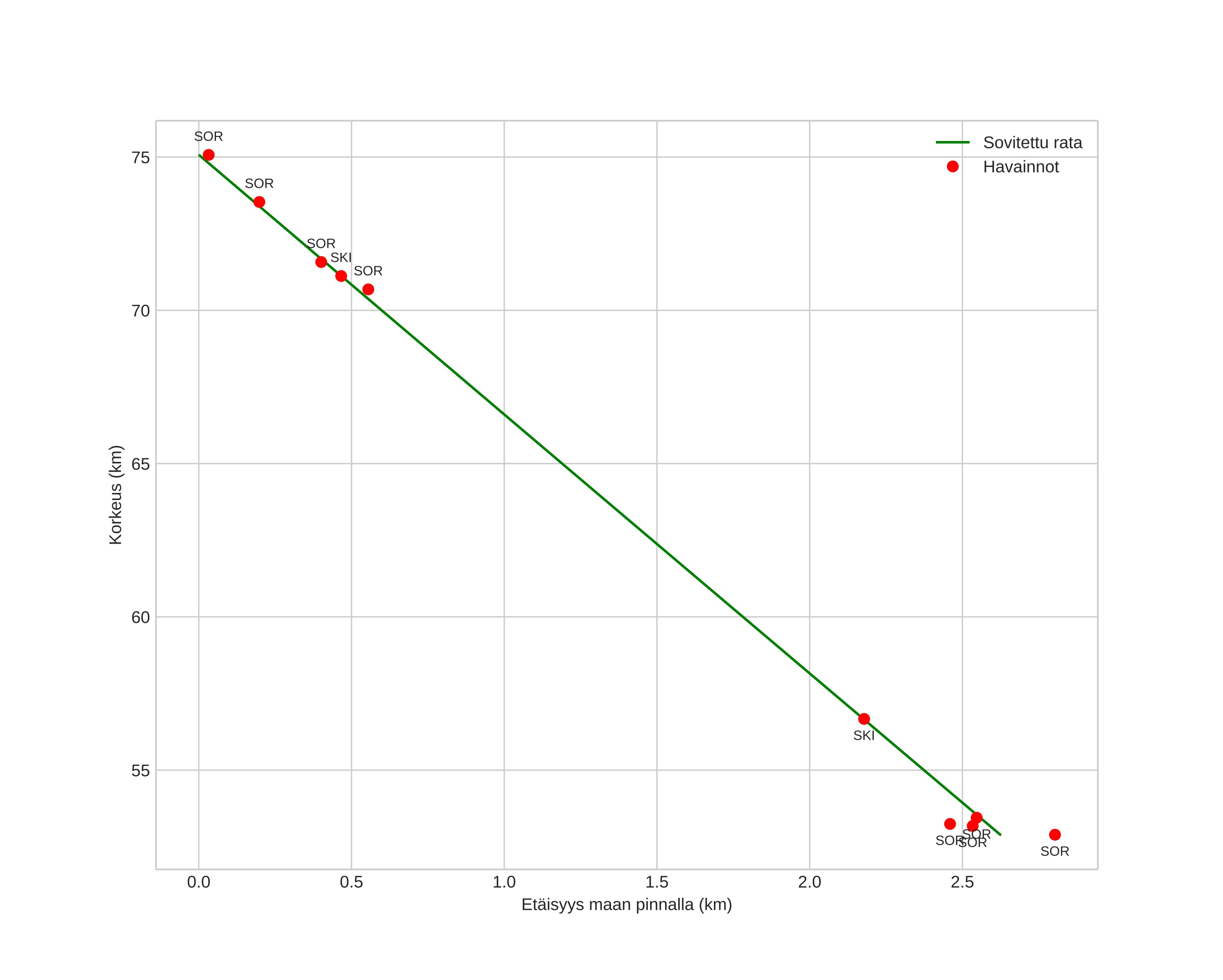
height profile
Meteorin ilmakehärata:
Alkukorkeus: 76,6 km
Loppukorkeus: 53,2 km
Alkupiste: 68,561N 16,668E
Loppupiste: 68,539N 16,702E
Suunta: 149,6°
Kallistuskulma: 83,3°
Tulonopeus: 18,4 km/s
Radiantin R,A,: 07:25 (111,3°)
Radiantin Dekl,: 74,3°
Meteoriparvi: Sporadinen
Meteoroidin rataelementit:
Perihelietäisyys: 0,919 AU
Eksentrisyys: 0,550
Inklinaatio: 18,5°
Nousevan solmun pituus: 304,9°
Perihelin argumentti: 215,7°
Keskianomalia: 350,9°
Epookki: 2025 JAN 24 23:08:58
orbit plot

Ei-interaktiivinen kuvaaja | Interaktiivinen kuvaaja

position vs time
speed and acceleration