🇳🇴 🇬🇧 🇩🇪 🇨🇿 🇫🇮

Meteor über Evenskjer 2025-01-24 23:08:58 UTC

KML-Datei  |  Interaktive Karte

Die Karte zeigt die Peilungen für den Meteor. Die helleren Linien zeigen die Richtungen von den Beobachtungsorten beim Erscheinen des Meteors, und die dunkleren Linien, wo er zuletzt gesehen wurde. Der blaue Pfeil zeigt die sichtbare Bahn des Meteors.

static map
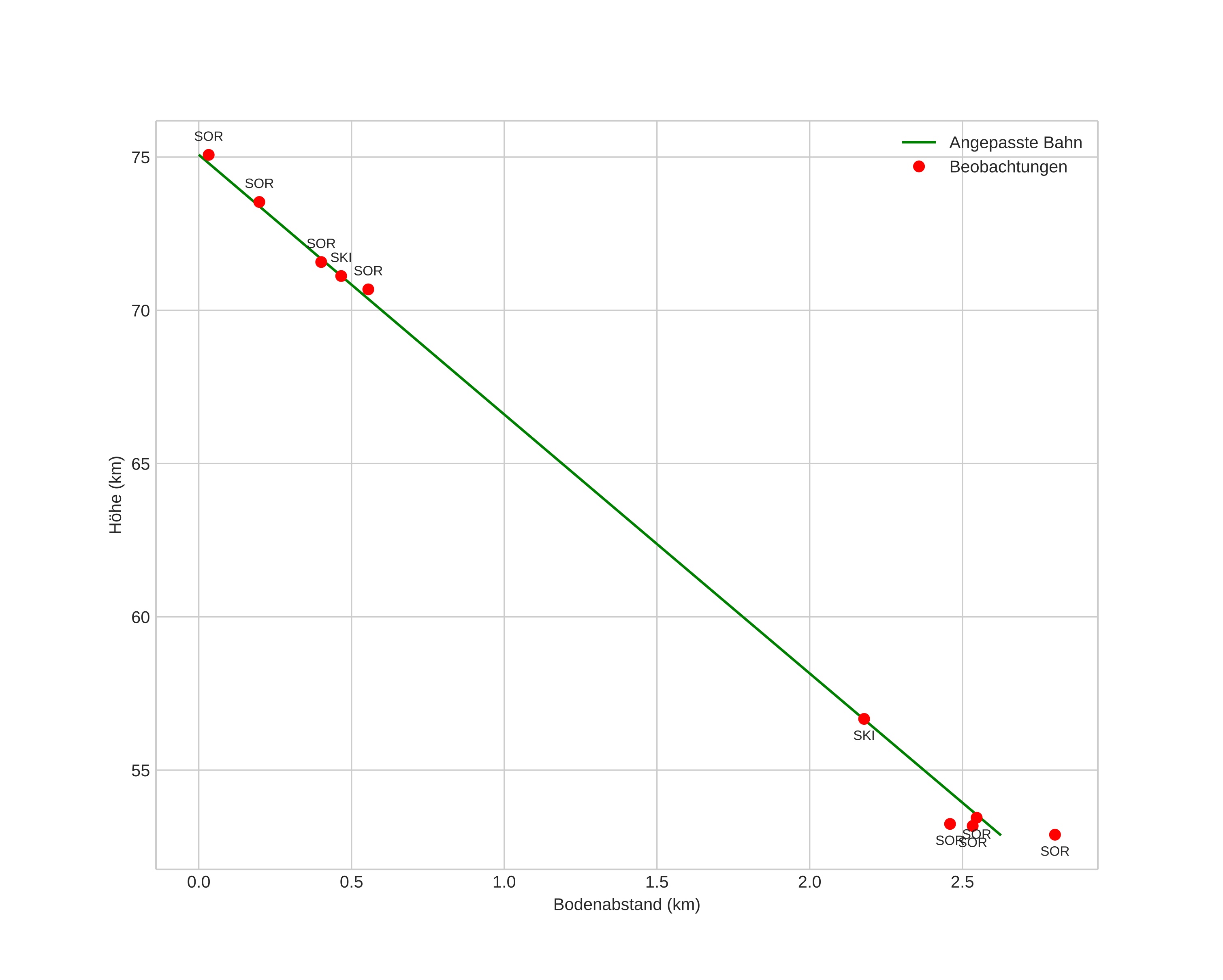
height profile
Atmosphärische Bahn des Meteors:
Anfangshöhe: 76,6 km
Endhöhe: 53,2 km
Startposition: 68,561N 16,668E
Endposition: 68,539N 16,702E
Richtung: 149,6°
Neigungswinkel: 83,3°
Eintrittsgeschwindigkeit: 18,4 km/s
Rektaszension des Radianten: 07:25 (111,3°)
Deklination des Radianten: 74,3°
Meteorstrom: sporadisch
Bahnelemente des Meteoroiden:
Periheldistanz: 0,919 AU
Exzentrizität: 0,550
Inklination: 18,5°
Länge des aufsteigenden Knotens: 304,9°
Argument des Perihels: 215,7°
Mittlere Anomalie: 350,9°
Epoche: 2025 JAN 24 23:08:58
orbit plot

Nicht-interaktives Diagramm | Interaktives Diagramm

position vs time
speed and acceleration