🇳🇴 🇬🇧 🇩🇪 🇨🇿 🇫🇮

Meteor, poloha: Malung 2025-02-05 20:16:45 UTC

Soubor KML  |  InteraktivnĂ­ mapa

Mapa zobrazuje dráhy meteoru. Světlejší čáry ukazují směry od pozorovacích stanic při objevení se meteoru a tmavší čáry, kde byl naposledy viděn. Modrá šipka značí viditelnou dráhu meteoru.

static map
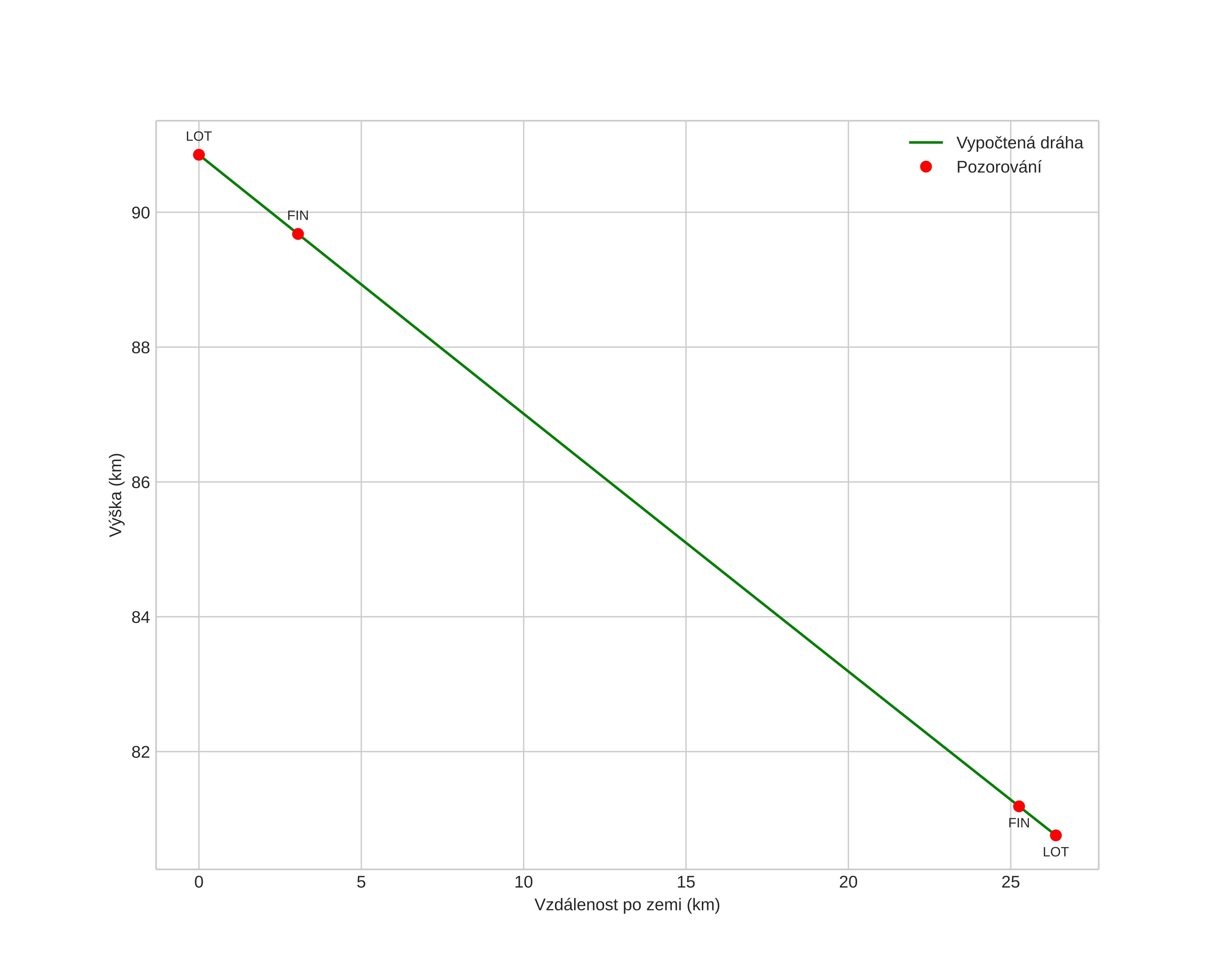
height profile
Atmosférická dráha meteoru:
Počáteční výška: 92,2 km
Konečná výška: 80,7 km
Počáteční poloha: 60,552N 14,271E
Konečná poloha: 60,777N 13,980E
Směr: 327,7°
Sklon: 21,2°
VstupnĂ­ rychlost: 24,4 km/s
Rektascenze radiantu: 08:19 (124,9°)
Deklinace radiantu: -8,5°
MeteorickĂ˝ roj: sporadickĂ˝
Elementy dráhy meteoroidu:
Vzdálenost v periheliu: 0,721 AU
Excentricita: 0,770
Sklon dráhy: 16,9°
Délka vzestupného uzlu: 136,9°
Argument perihelia: 67,5°
Střední anomálie: 353,0°
Epocha: 2025 FEB 05 20:16:45
orbit plot

NeinteraktivnĂ­ graf | InteraktivnĂ­ graf

position vs time
speed and acceleration