🇳🇴 🇬🇧 🇩🇪 🇨🇿 🇫🇮

Meteor Malungin yllä 2025-02-05 20:16:45 UTC

KML-tiedosto  |  Interaktiivinen kartta

Kartta näyttää meteorin suuntahavainnot. Vaaleammat viivat näyttävät suunnat havaintoasemilta meteorin ilmestyessä, ja tummemmat viivat näyttävät, missä se viimeksi nähtiin. Sininen nuoli näyttää meteorin näkyvän lennon.

static map
height profile
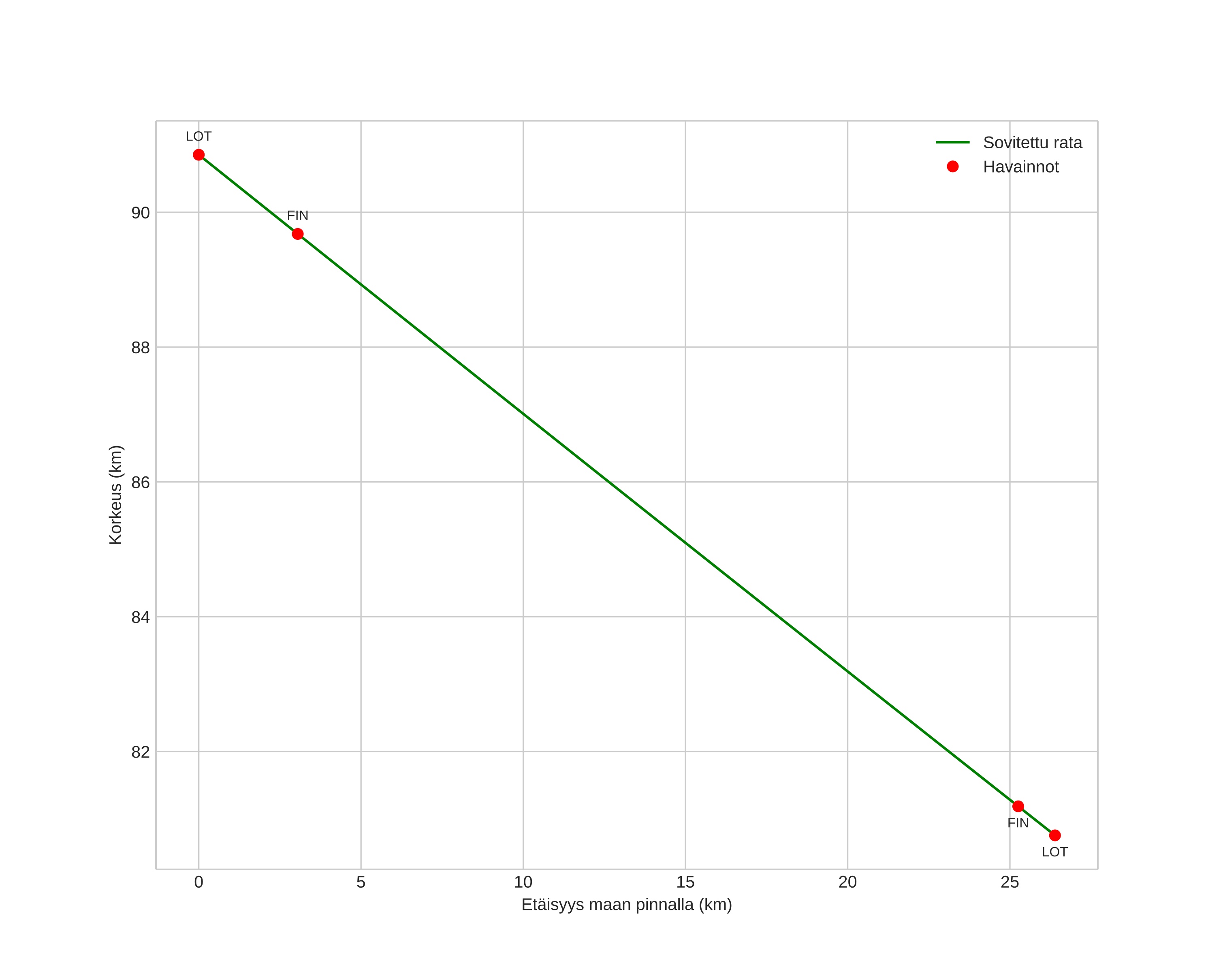
Meteorin ilmakehärata:
Alkukorkeus: 92,2 km
Loppukorkeus: 80,7 km
Alkupiste: 60,552N 14,271E
Loppupiste: 60,777N 13,980E
Suunta: 327,7°
Kallistuskulma: 21,2°
Tulonopeus: 24,4 km/s
Radiantin R,A,: 08:19 (124,9°)
Radiantin Dekl,: -8,5°
Meteoriparvi: Sporadinen
Meteoroidin rataelementit:
Perihelietäisyys: 0,721 AU
Eksentrisyys: 0,770
Inklinaatio: 16,9°
Nousevan solmun pituus: 136,9°
Perihelin argumentti: 67,5°
Keskianomalia: 353,0°
Epookki: 2025 FEB 05 20:16:45
orbit plot

Ei-interaktiivinen kuvaaja | Interaktiivinen kuvaaja

position vs time
speed and acceleration