🇳🇴 🇬🇧 🇩🇪 🇨🇿 🇫🇮

Meteor über Malung 2025-02-05 20:16:45 UTC

KML-Datei  |  Interaktive Karte

Die Karte zeigt die Peilungen für den Meteor. Die helleren Linien zeigen die Richtungen von den Beobachtungsorten beim Erscheinen des Meteors, und die dunkleren Linien, wo er zuletzt gesehen wurde. Der blaue Pfeil zeigt die sichtbare Bahn des Meteors.

static map
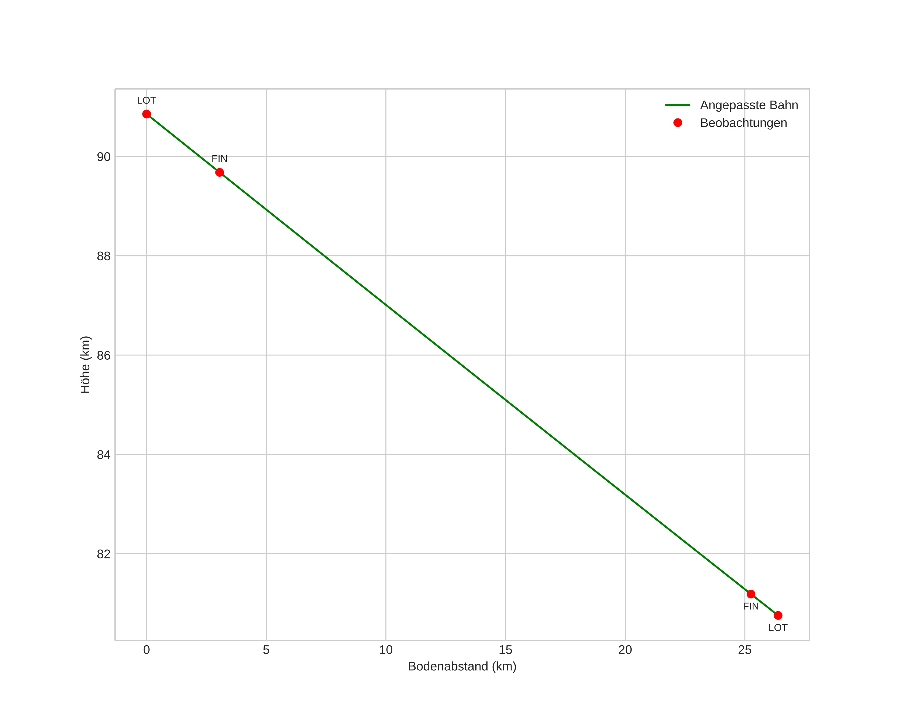
height profile
Atmosphärische Bahn des Meteors:
Anfangshöhe: 92,2 km
Endhöhe: 80,7 km
Startposition: 60,552N 14,271E
Endposition: 60,777N 13,980E
Richtung: 327,7°
Neigungswinkel: 21,2°
Eintrittsgeschwindigkeit: 24,4 km/s
Rektaszension des Radianten: 08:19 (124,9°)
Deklination des Radianten: -8,5°
Meteorstrom: sporadisch
Bahnelemente des Meteoroiden:
Periheldistanz: 0,721 AU
Exzentrizität: 0,770
Inklination: 16,9°
Länge des aufsteigenden Knotens: 136,9°
Argument des Perihels: 67,5°
Mittlere Anomalie: 353,0°
Epoche: 2025 FEB 05 20:16:45
orbit plot

Nicht-interaktives Diagramm | Interaktives Diagramm

position vs time
speed and acceleration