🇳🇴 🇬🇧 🇩🇪 🇨🇿 🇫🇮

Meteor, poloha: Elvestad 2025-02-11 18:02:10 UTC

Soubor KML  |  InteraktivnĂ­ mapa

Mapa zobrazuje dráhy meteoru. Světlejší čáry ukazují směry od pozorovacích stanic při objevení se meteoru a tmavší čáry, kde byl naposledy viděn. Modrá šipka značí viditelnou dráhu meteoru.

static map
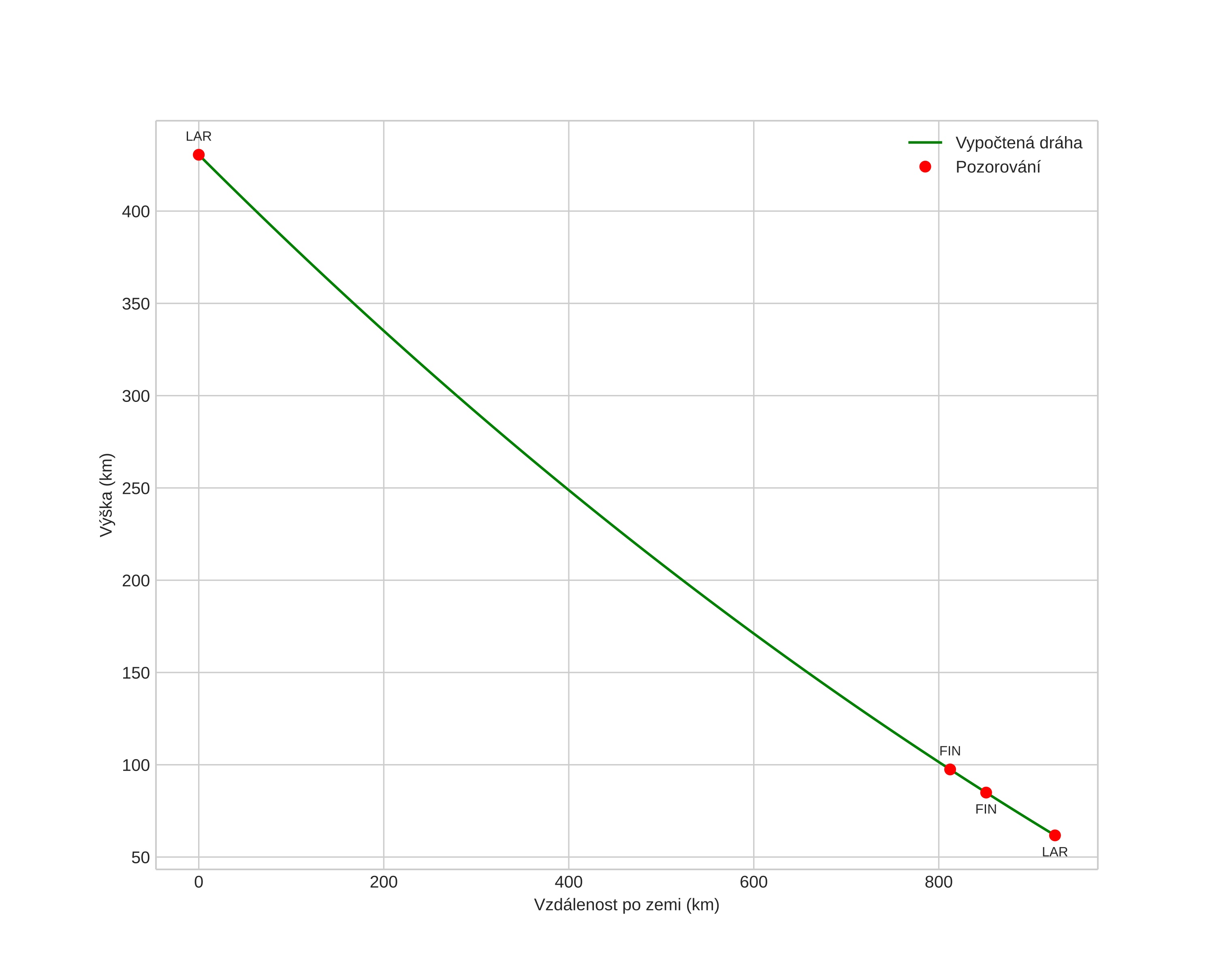
height profile
Atmosférická dráha meteoru:
Počáteční výška: 105,7 km
Konečná výška: 83,4 km
Počáteční poloha: 60,017N 11,545E
Konečná poloha: 59,544N 10,948E
Směr: 212,7°
Sklon: 19,7°
VstupnĂ­ rychlost: 41,3 km/s
Rektascenze radiantu: 13:21 (200,4°)
Deklinace radiantu: 42,3°
MeteorickĂ˝ roj: sporadickĂ˝
Elementy dráhy meteoroidu:
Vzdálenost v periheliu: 0,624 AU
Excentricita: 0,812
Sklon dráhy: 63,0°
Délka vzestupného uzlu: 322,9°
Argument perihelia: 259,7°
Střední anomálie: 353,2°
Epocha: 2025 FEB 11 18:02:10
orbit plot

NeinteraktivnĂ­ graf | InteraktivnĂ­ graf

position vs time
speed and acceleration