🇳🇴 🇬🇧 🇩🇪 🇨🇿 🇫🇮

Meteor Elvestadin yllä 2025-02-11 18:02:10 UTC

KML-tiedosto  |  Interaktiivinen kartta

Kartta näyttää meteorin suuntahavainnot. Vaaleammat viivat näyttävät suunnat havaintoasemilta meteorin ilmestyessä, ja tummemmat viivat näyttävät, missä se viimeksi nähtiin. Sininen nuoli näyttää meteorin näkyvän lennon.

static map
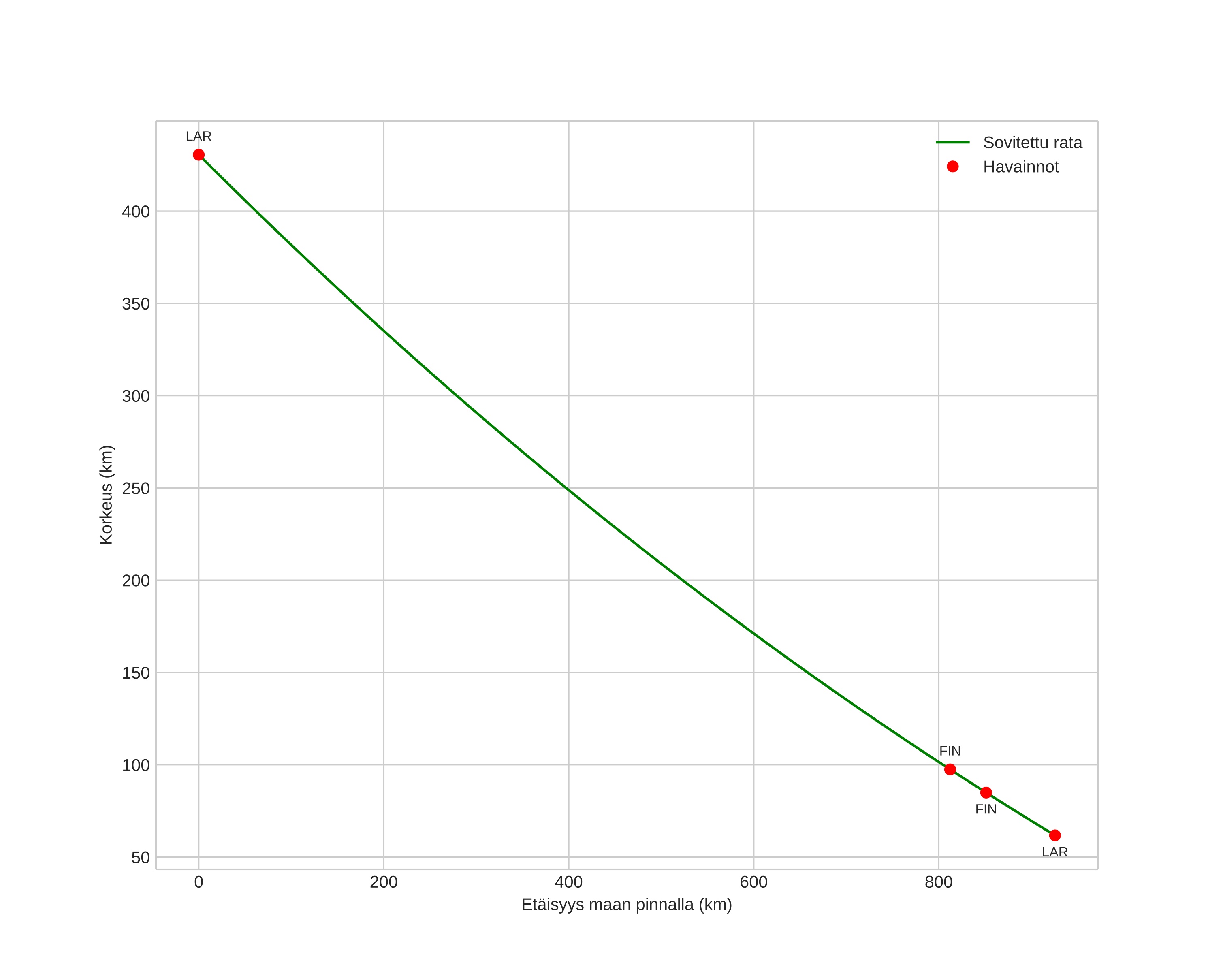
height profile
Meteorin ilmakehärata:
Alkukorkeus: 105,7 km
Loppukorkeus: 83,4 km
Alkupiste: 60,017N 11,545E
Loppupiste: 59,544N 10,948E
Suunta: 212,7°
Kallistuskulma: 19,7°
Tulonopeus: 41,3 km/s
Radiantin R,A,: 13:21 (200,4°)
Radiantin Dekl,: 42,3°
Meteoriparvi: Sporadinen
Meteoroidin rataelementit:
Perihelietäisyys: 0,624 AU
Eksentrisyys: 0,812
Inklinaatio: 63,0°
Nousevan solmun pituus: 322,9°
Perihelin argumentti: 259,7°
Keskianomalia: 353,2°
Epookki: 2025 FEB 11 18:02:10
orbit plot

Ei-interaktiivinen kuvaaja | Interaktiivinen kuvaaja

position vs time
speed and acceleration