🇳🇴 🇬🇧 🇩🇪 🇨🇿 🇫🇮

Meteor über Elvestad 2025-02-11 18:02:10 UTC

KML-Datei  |  Interaktive Karte

Die Karte zeigt die Peilungen für den Meteor. Die helleren Linien zeigen die Richtungen von den Beobachtungsorten beim Erscheinen des Meteors, und die dunkleren Linien, wo er zuletzt gesehen wurde. Der blaue Pfeil zeigt die sichtbare Bahn des Meteors.

static map
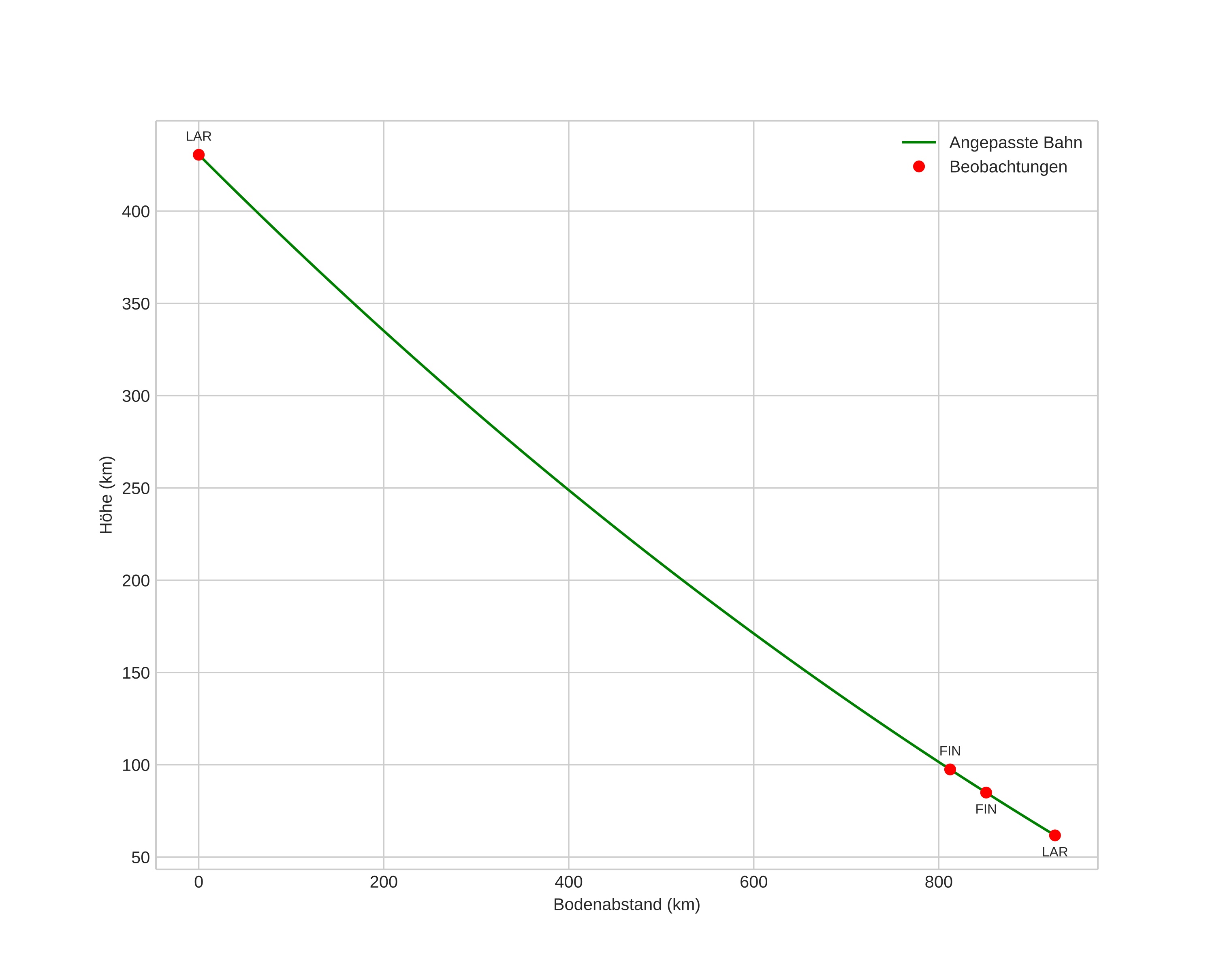
height profile
Atmosphärische Bahn des Meteors:
Anfangshöhe: 105,7 km
Endhöhe: 83,4 km
Startposition: 60,017N 11,545E
Endposition: 59,544N 10,948E
Richtung: 212,7°
Neigungswinkel: 19,7°
Eintrittsgeschwindigkeit: 41,3 km/s
Rektaszension des Radianten: 13:21 (200,4°)
Deklination des Radianten: 42,3°
Meteorstrom: sporadisch
Bahnelemente des Meteoroiden:
Periheldistanz: 0,624 AU
Exzentrizität: 0,812
Inklination: 63,0°
Länge des aufsteigenden Knotens: 322,9°
Argument des Perihels: 259,7°
Mittlere Anomalie: 353,2°
Epoche: 2025 FEB 11 18:02:10
orbit plot

Nicht-interaktives Diagramm | Interaktives Diagramm

position vs time
speed and acceleration