🇳🇴 🇬🇧 🇩🇪 🇨🇿 🇫🇮

Meteor, poloha: Prestfoss 2025-03-03 20:20:21 UTC

Soubor KML  |  InteraktivnĂ­ mapa

Mapa zobrazuje dráhy meteoru. Světlejší čáry ukazují směry od pozorovacích stanic při objevení se meteoru a tmavší čáry, kde byl naposledy viděn. Modrá šipka značí viditelnou dráhu meteoru.

static map
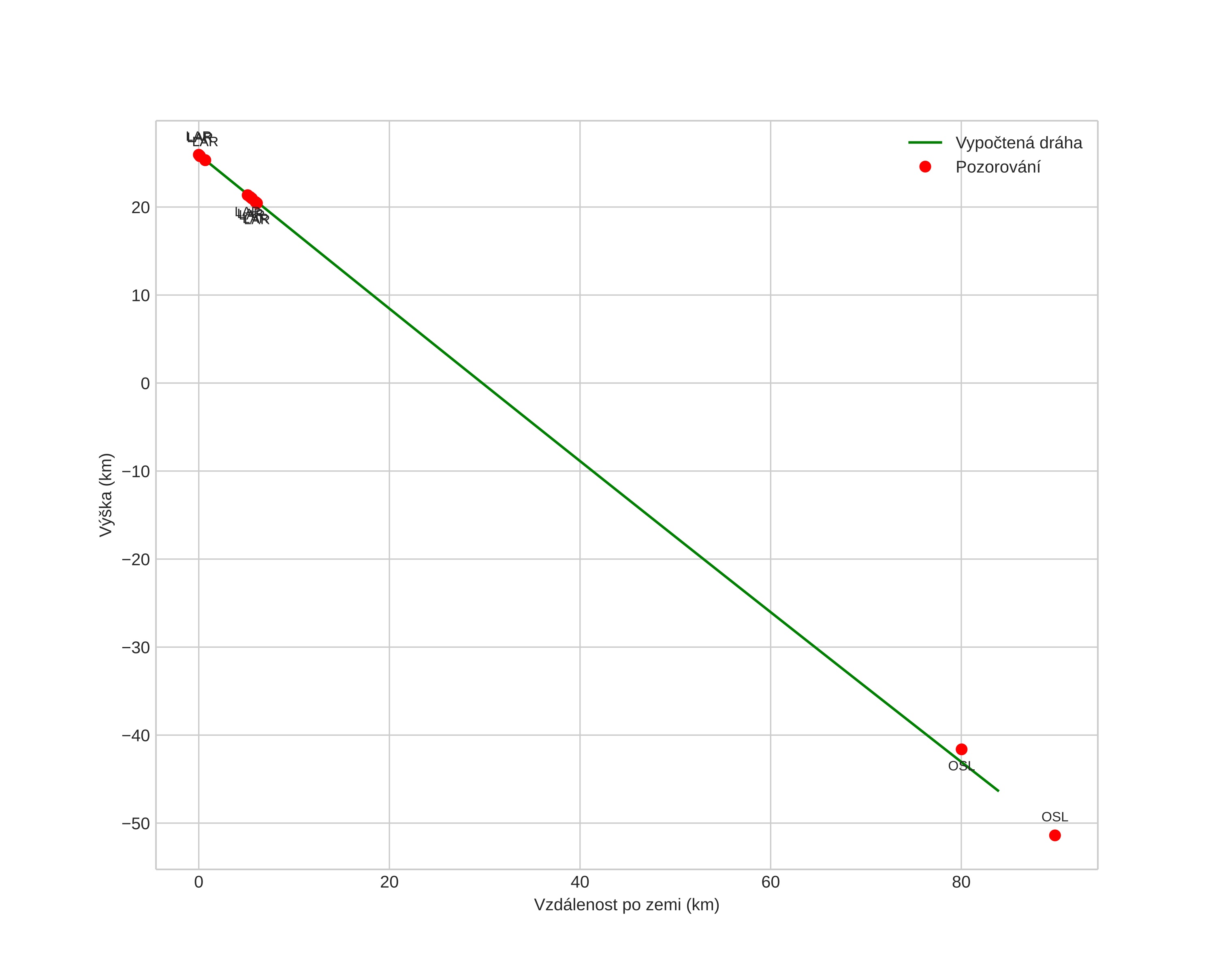
height profile
Atmosférická dráha meteoru:
Počáteční výška: 25,9 km
Konečná výška: -47,1 km
Počáteční poloha: 59,312N 10,392E
Konečná poloha: 59,985N 9,714E
Směr: 333,3°
Sklon: 41,0°
VstupnĂ­ rychlost: 9,2 km/s
position vs time
speed and acceleration