🇳🇴 🇬🇧 🇩🇪 🇨🇿 🇫🇮

Meteor über Prestfoss 2025-03-03 20:20:21 UTC

KML-Datei  |  Interaktive Karte

Die Karte zeigt die Peilungen für den Meteor. Die helleren Linien zeigen die Richtungen von den Beobachtungsorten beim Erscheinen des Meteors, und die dunkleren Linien, wo er zuletzt gesehen wurde. Der blaue Pfeil zeigt die sichtbare Bahn des Meteors.

static map
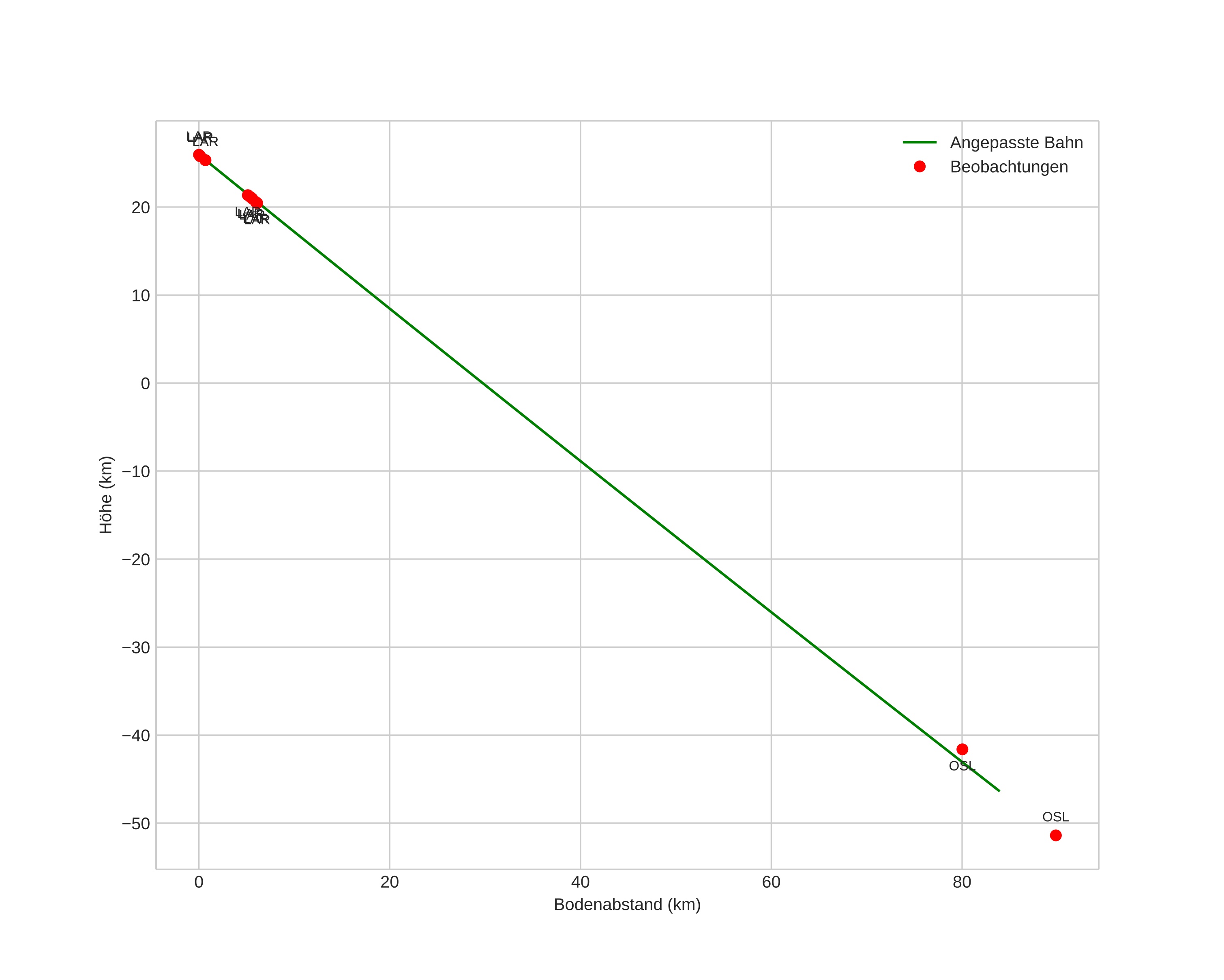
height profile
Atmosphärische Bahn des Meteors:
Anfangshöhe: 25,9 km
Endhöhe: -47,1 km
Startposition: 59,312N 10,392E
Endposition: 59,985N 9,714E
Richtung: 333,3°
Neigungswinkel: 41,0°
Eintrittsgeschwindigkeit: 9,2 km/s
position vs time
speed and acceleration