🇳🇴 🇬🇧 🇩🇪 🇨🇿 🇫🇮

Meteor Prestfossin yllä 2025-03-03 20:20:21 UTC

KML-tiedosto  |  Interaktiivinen kartta

Kartta näyttää meteorin suuntahavainnot. Vaaleammat viivat näyttävät suunnat havaintoasemilta meteorin ilmestyessä, ja tummemmat viivat näyttävät, missä se viimeksi nähtiin. Sininen nuoli näyttää meteorin näkyvän lennon.

static map
height profile
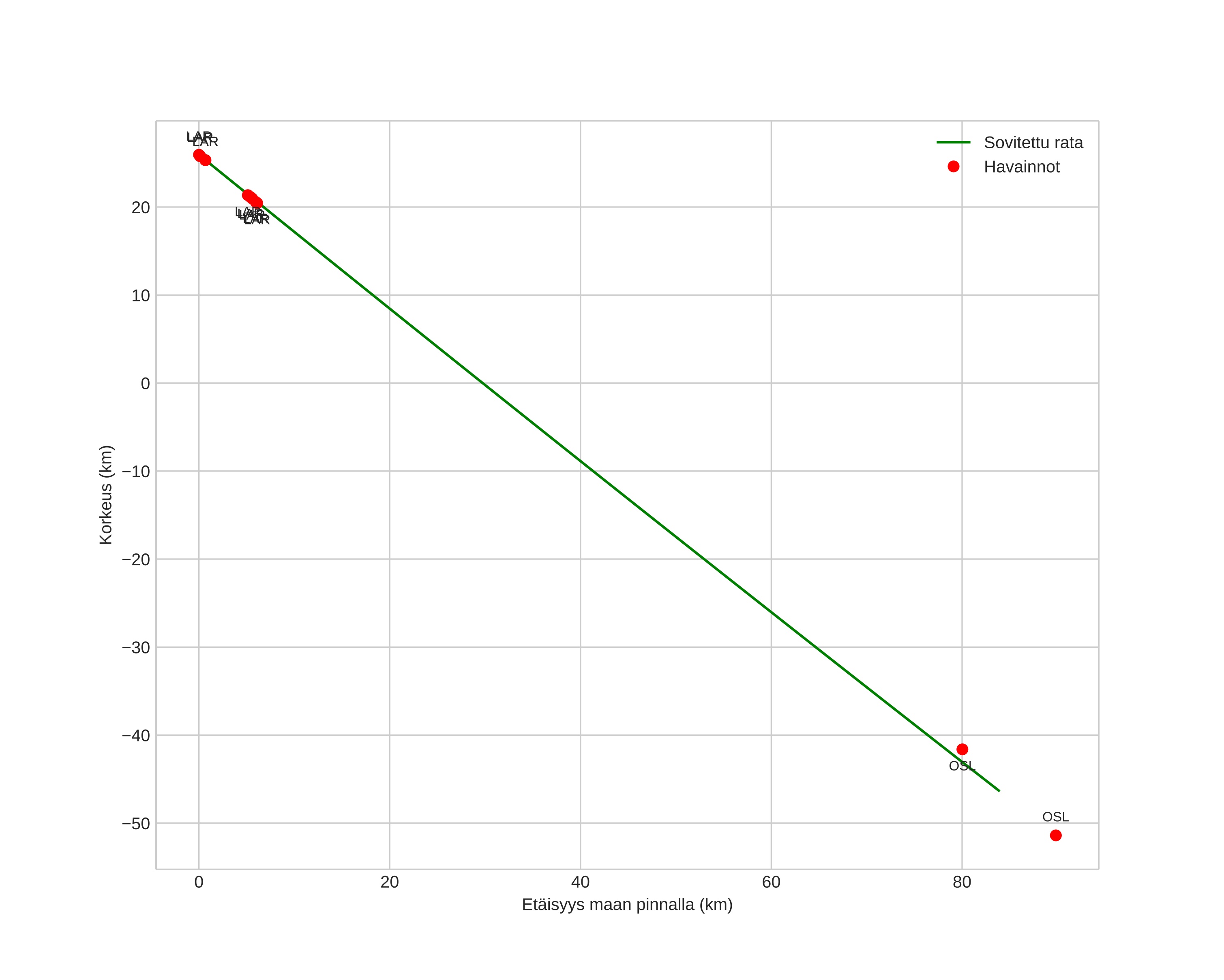
Meteorin ilmakehärata:
Alkukorkeus: 25,9 km
Loppukorkeus: -47,1 km
Alkupiste: 59,312N 10,392E
Loppupiste: 59,985N 9,714E
Suunta: 333,3°
Kallistuskulma: 41,0°
Tulonopeus: 9,2 km/s
position vs time
speed and acceleration