🇳🇴 🇬🇧 🇩🇪 🇨🇿 🇫🇮

Meteor, poloha: Skarnes 2025-03-15 00:58:46 UTC

Soubor KML

Mapa zobrazuje dráhy meteoru. Světlejší čáry ukazují směry od pozorovacích stanic při objevení se meteoru a tmavší čáry, kde byl naposledy viděn. Modrá šipka značí viditelnou dráhu meteoru.

static map
height profile
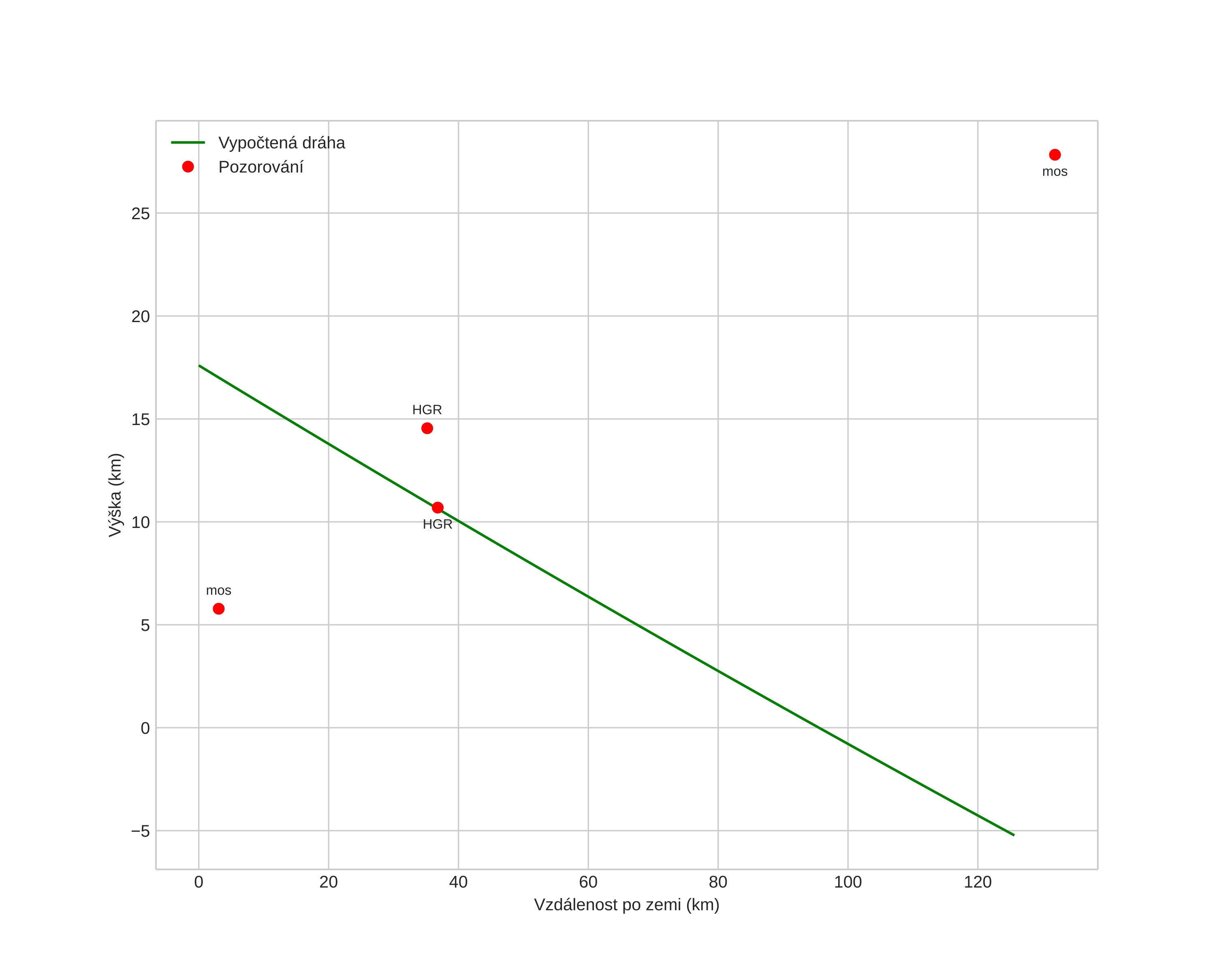
Atmosférická dráha meteoru:
Počáteční výška: 17,6 km
Konečná výška: -5,2 km
Počáteční poloha: 60,702N 9,716E
Konečná poloha: 60,092N 11,642E
Směr: 121,8°
Sklon: 10,3°
VstupnĂ­ rychlost: 13,7 km/s
Rektascenze radiantu: 04:52 (73,1°)
Deklinace radiantu: 2,4°
MeteorickĂ˝ roj: sporadickĂ˝
Elementy dráhy meteoroidu:
Vzdálenost v periheliu: 0,990 AU
Excentricita: 0,600
Sklon dráhy: 4,3°
Délka vzestupného uzlu: 174,3°
Argument perihelia: 351,3°
Střední anomálie: 1,7°
Epocha: 2025 MAR 15 00:58:46
orbit plot

NeinteraktivnĂ­ graf

position vs time
speed and acceleration