🇳🇴 🇬🇧 🇩🇪 🇨🇿 🇫🇮

Meteor über Skarnes 2025-03-15 00:58:46 UTC

KML-Datei

Die Karte zeigt die Peilungen für den Meteor. Die helleren Linien zeigen die Richtungen von den Beobachtungsorten beim Erscheinen des Meteors, und die dunkleren Linien, wo er zuletzt gesehen wurde. Der blaue Pfeil zeigt die sichtbare Bahn des Meteors.

static map
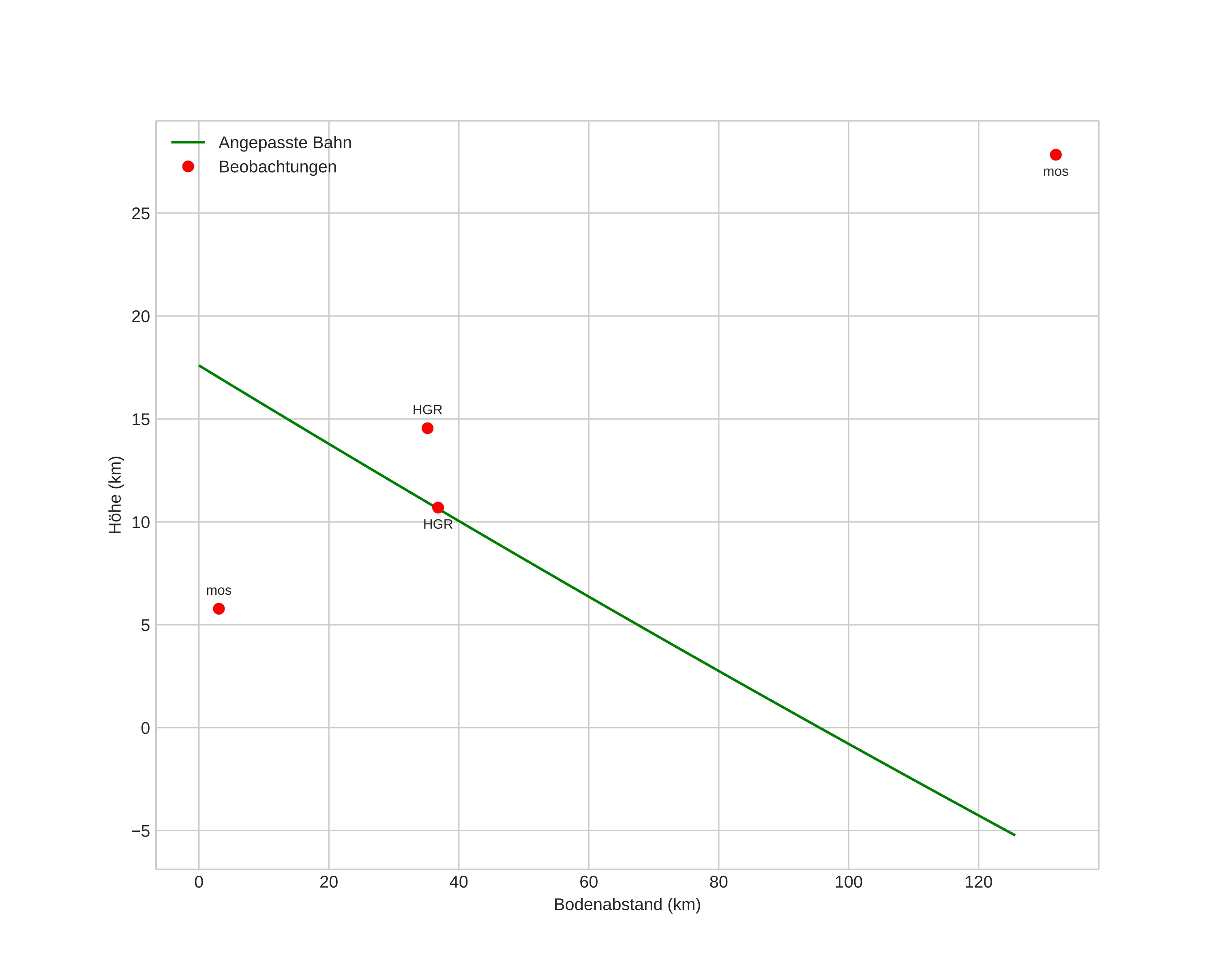
height profile
Atmosphärische Bahn des Meteors:
Anfangshöhe: 17,6 km
Endhöhe: -5,2 km
Startposition: 60,702N 9,716E
Endposition: 60,092N 11,642E
Richtung: 121,8°
Neigungswinkel: 10,3°
Eintrittsgeschwindigkeit: 13,7 km/s
Rektaszension des Radianten: 04:52 (73,1°)
Deklination des Radianten: 2,4°
Meteorstrom: sporadisch
Bahnelemente des Meteoroiden:
Periheldistanz: 0,990 AU
Exzentrizität: 0,600
Inklination: 4,3°
Länge des aufsteigenden Knotens: 174,3°
Argument des Perihels: 351,3°
Mittlere Anomalie: 1,7°
Epoche: 2025 MAR 15 00:58:46
orbit plot

Nicht-interaktives Diagramm

position vs time
speed and acceleration