🇳🇴 🇬🇧 🇩🇪 🇨🇿 🇫🇮

Meteor Skarnesin yllä 2025-03-15 00:58:46 UTC

KML-tiedosto

Kartta näyttää meteorin suuntahavainnot. Vaaleammat viivat näyttävät suunnat havaintoasemilta meteorin ilmestyessä, ja tummemmat viivat näyttävät, missä se viimeksi nähtiin. Sininen nuoli näyttää meteorin näkyvän lennon.

static map
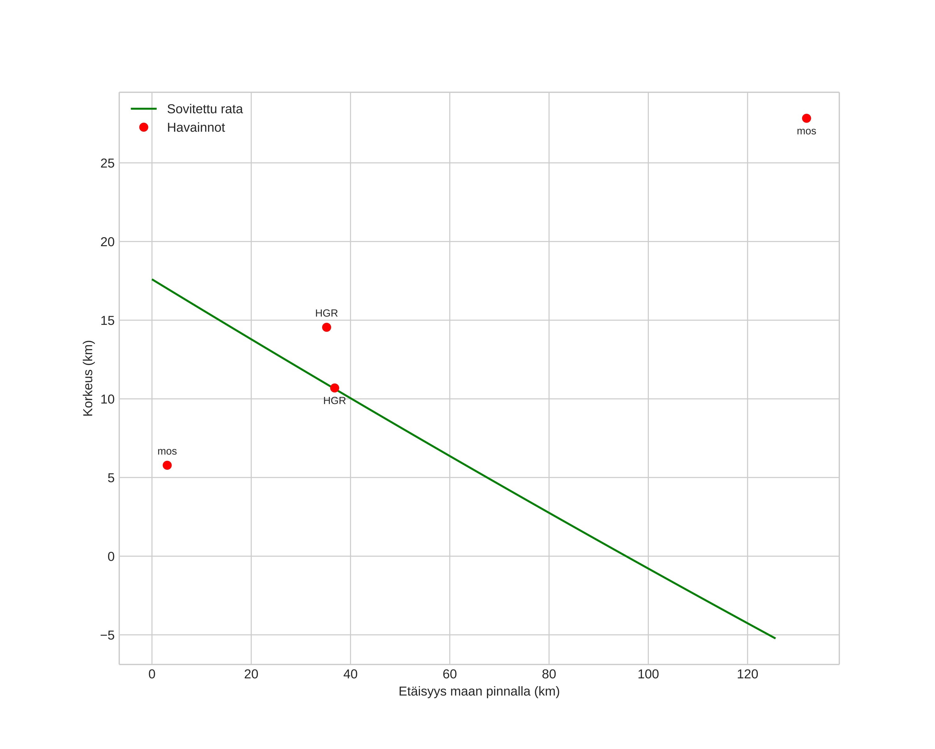
height profile
Meteorin ilmakehärata:
Alkukorkeus: 17,6 km
Loppukorkeus: -5,2 km
Alkupiste: 60,702N 9,716E
Loppupiste: 60,092N 11,642E
Suunta: 121,8°
Kallistuskulma: 10,3°
Tulonopeus: 13,7 km/s
Radiantin R,A,: 04:52 (73,1°)
Radiantin Dekl,: 2,4°
Meteoriparvi: Sporadinen
Meteoroidin rataelementit:
Perihelietäisyys: 0,990 AU
Eksentrisyys: 0,600
Inklinaatio: 4,3°
Nousevan solmun pituus: 174,3°
Perihelin argumentti: 351,3°
Keskianomalia: 1,7°
Epookki: 2025 MAR 15 00:58:46
orbit plot

Ei-interaktiivinen kuvaaja

position vs time
speed and acceleration