🇳🇴 🇬🇧 🇩🇪 🇨🇿 🇫🇮

Meteor, poloha: Ă…motfors 2025-03-20 20:38:58 UTC

Soubor KML  |  InteraktivnĂ­ mapa

Mapa zobrazuje dráhy meteoru. Světlejší čáry ukazují směry od pozorovacích stanic při objevení se meteoru a tmavší čáry, kde byl naposledy viděn. Modrá šipka značí viditelnou dráhu meteoru.

static map
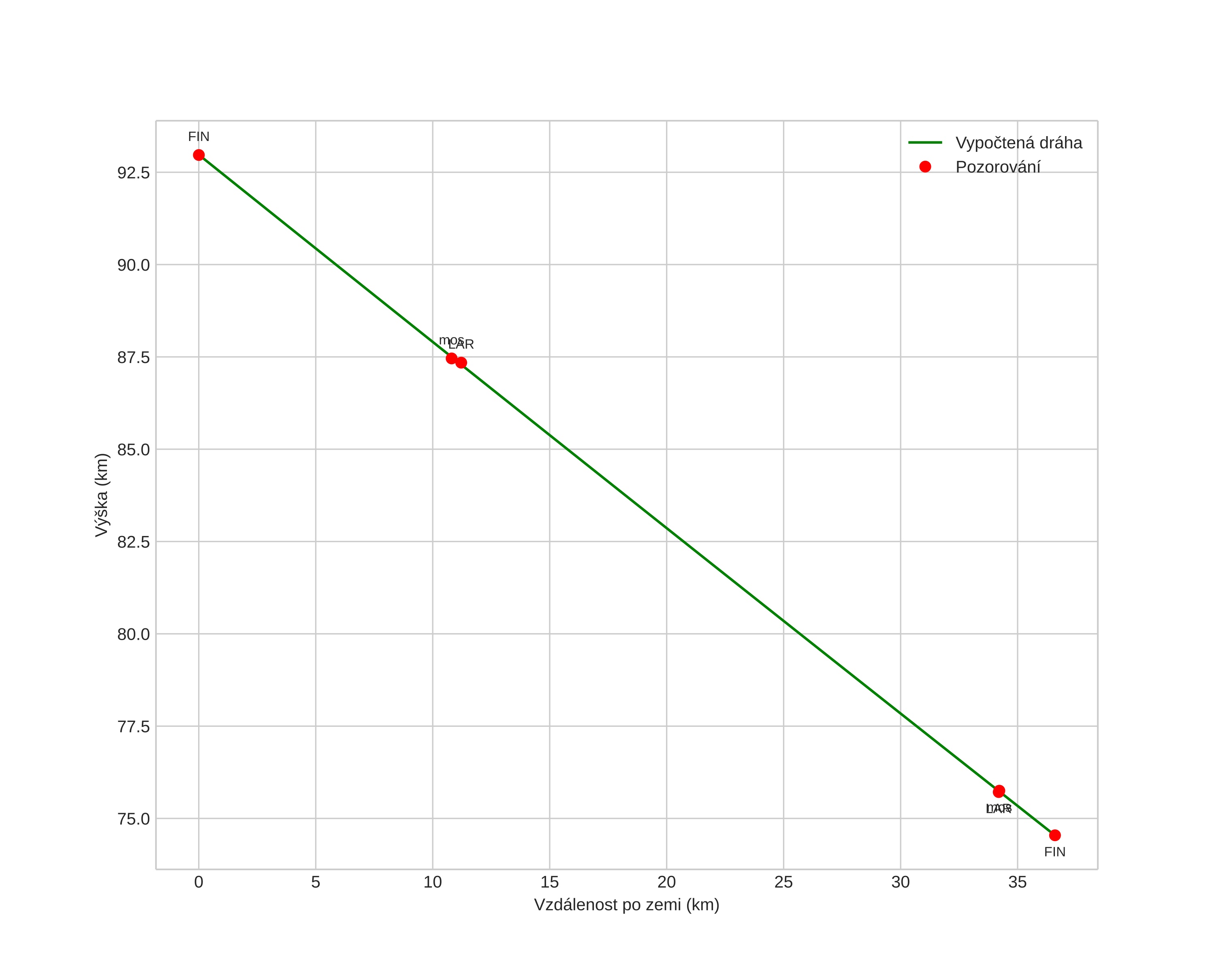
height profile
Atmosférická dráha meteoru:
Počáteční výška: 92,6 km
Konečná výška: 74,6 km
Počáteční poloha: 59,563N 12,880E
Konečná poloha: 59,758N 12,374E
Směr: 307,6°
Sklon: 26,7°
VstupnĂ­ rychlost: 28,3 km/s
Rektascenze radiantu: 12:28 (187,1°)
Deklinace radiantu: 3,8°
MeteorickĂ˝ roj: sporadickĂ˝
Elementy dráhy meteoroidu:
Vzdálenost v periheliu: 0,483 AU
Excentricita: 0,797
Sklon dráhy: 5,9°
Délka vzestupného uzlu: 0,1°
Argument perihelia: 279,2°
Střední anomálie: 348,1°
Epocha: 2025 MAR 20 20:38:58
orbit plot

NeinteraktivnĂ­ graf | InteraktivnĂ­ graf

position vs time
speed and acceleration