🇳🇴 🇬🇧 🇩🇪 🇨🇿 🇫🇮

Meteor Åmotforsin yllä 2025-03-20 20:38:58 UTC

KML-tiedosto  |  Interaktiivinen kartta

Kartta näyttää meteorin suuntahavainnot. Vaaleammat viivat näyttävät suunnat havaintoasemilta meteorin ilmestyessä, ja tummemmat viivat näyttävät, missä se viimeksi nähtiin. Sininen nuoli näyttää meteorin näkyvän lennon.

static map
height profile
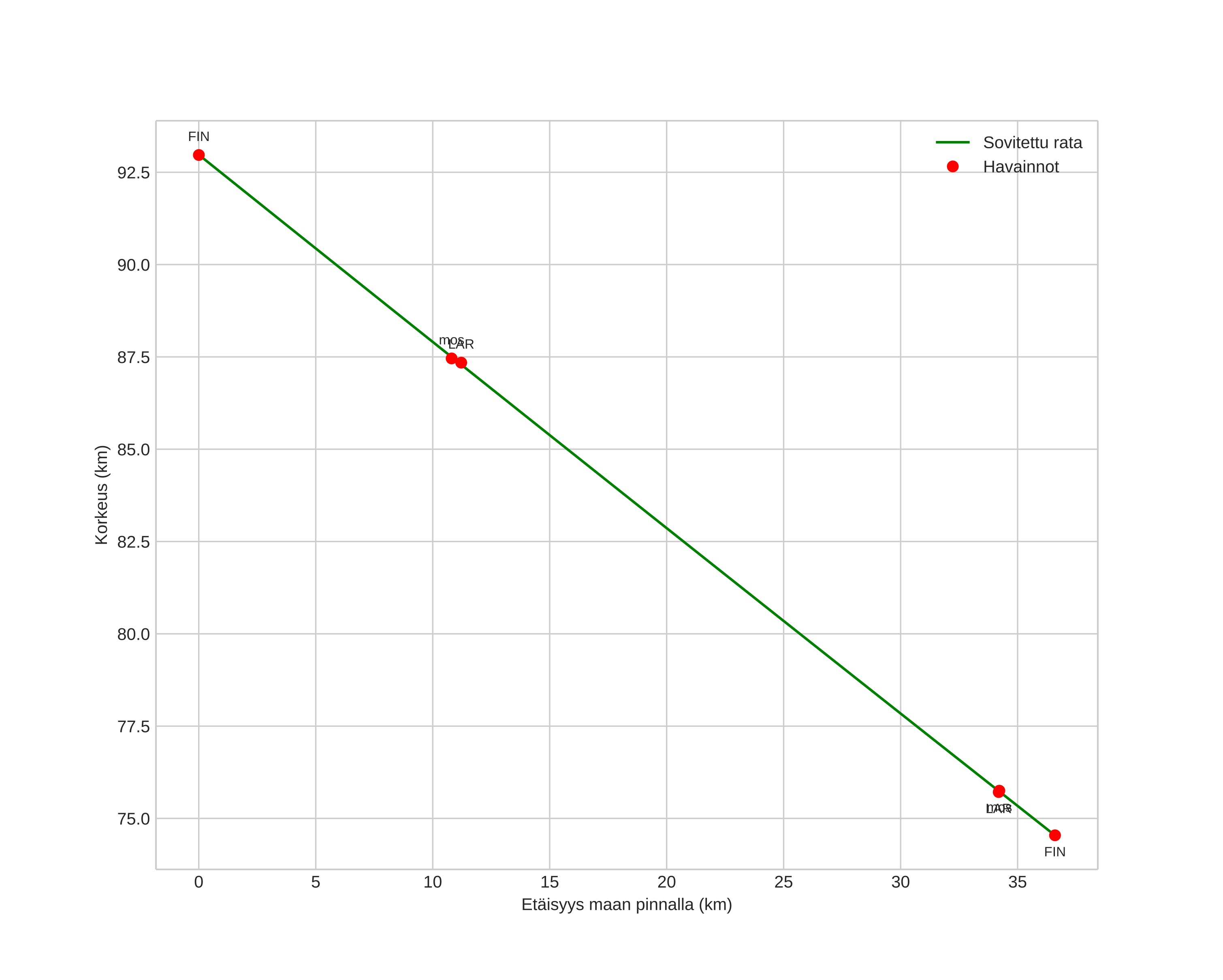
Meteorin ilmakehärata:
Alkukorkeus: 92,6 km
Loppukorkeus: 74,6 km
Alkupiste: 59,563N 12,880E
Loppupiste: 59,758N 12,374E
Suunta: 307,6°
Kallistuskulma: 26,7°
Tulonopeus: 28,3 km/s
Radiantin R,A,: 12:28 (187,1°)
Radiantin Dekl,: 3,8°
Meteoriparvi: Sporadinen
Meteoroidin rataelementit:
Perihelietäisyys: 0,483 AU
Eksentrisyys: 0,797
Inklinaatio: 5,9°
Nousevan solmun pituus: 0,1°
Perihelin argumentti: 279,2°
Keskianomalia: 348,1°
Epookki: 2025 MAR 20 20:38:58
orbit plot

Ei-interaktiivinen kuvaaja | Interaktiivinen kuvaaja

position vs time
speed and acceleration