🇳🇴 🇬🇧 🇩🇪 🇨🇿 🇫🇮

Meteor über Åmotfors 2025-03-20 20:38:58 UTC

KML-Datei  |  Interaktive Karte

Die Karte zeigt die Peilungen für den Meteor. Die helleren Linien zeigen die Richtungen von den Beobachtungsorten beim Erscheinen des Meteors, und die dunkleren Linien, wo er zuletzt gesehen wurde. Der blaue Pfeil zeigt die sichtbare Bahn des Meteors.

static map
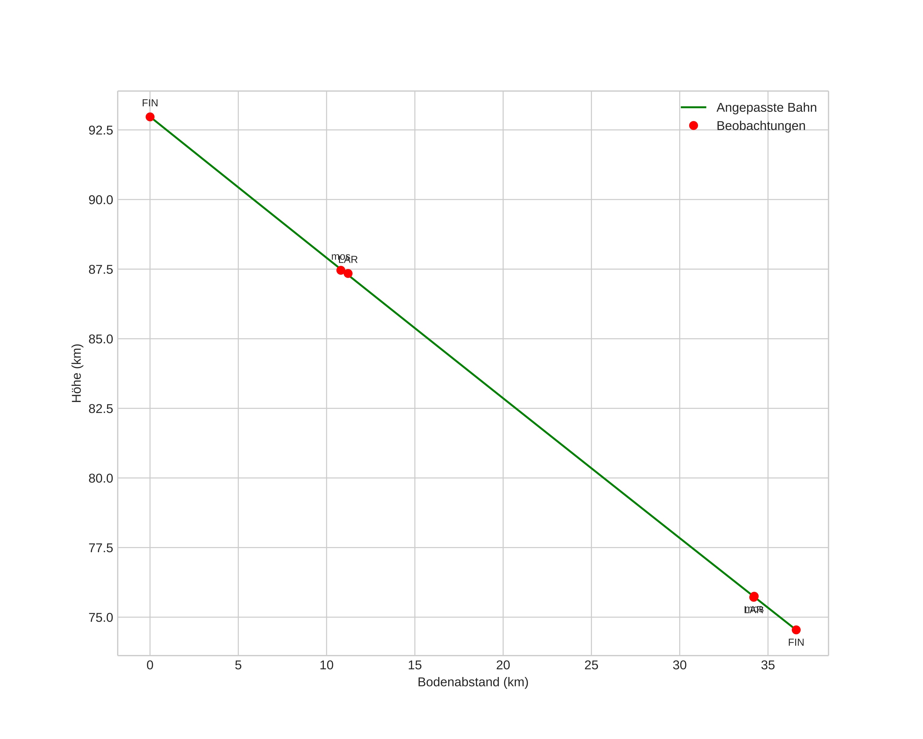
height profile
Atmosphärische Bahn des Meteors:
Anfangshöhe: 92,6 km
Endhöhe: 74,6 km
Startposition: 59,563N 12,880E
Endposition: 59,758N 12,374E
Richtung: 307,6°
Neigungswinkel: 26,7°
Eintrittsgeschwindigkeit: 28,3 km/s
Rektaszension des Radianten: 12:28 (187,1°)
Deklination des Radianten: 3,8°
Meteorstrom: sporadisch
Bahnelemente des Meteoroiden:
Periheldistanz: 0,483 AU
Exzentrizität: 0,797
Inklination: 5,9°
Länge des aufsteigenden Knotens: 0,1°
Argument des Perihels: 279,2°
Mittlere Anomalie: 348,1°
Epoche: 2025 MAR 20 20:38:58
orbit plot

Nicht-interaktives Diagramm | Interaktives Diagramm

position vs time
speed and acceleration