🇳🇴 🇬🇧 🇩🇪 🇨🇿 🇫🇮

Meteor, poloha: Sjølyststranda 2025-04-02 22:39:24 UTC

Soubor KML  |  InteraktivnĂ­ mapa

Mapa zobrazuje dráhy meteoru. Světlejší čáry ukazují směry od pozorovacích stanic při objevení se meteoru a tmavší čáry, kde byl naposledy viděn. Modrá šipka značí viditelnou dráhu meteoru.

static map
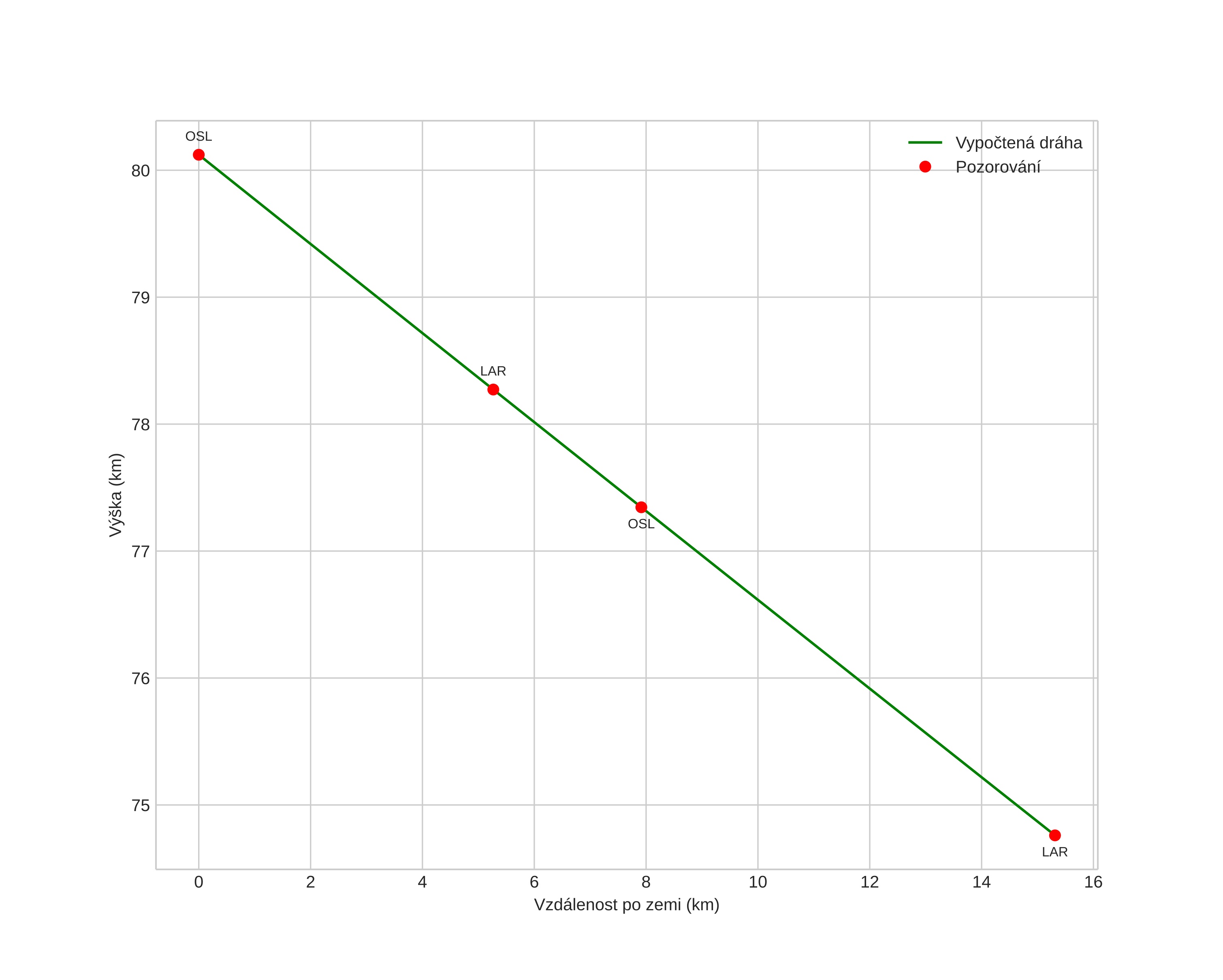
height profile
Atmosférická dráha meteoru:
Počáteční výška: 81,3 km
Konečná výška: 74,1 km
Počáteční poloha: 59,842N 10,451E
Konečná poloha: 59,964N 10,704E
Směr: 46,1°
Sklon: 20,3°
VstupnĂ­ rychlost: 13,3 km/s
Rektascenze radiantu: 08:39 (129,8°)
Deklinace radiantu: -21,6°
MeteorickĂ˝ roj: sporadickĂ˝
Elementy dráhy meteoroidu:
Vzdálenost v periheliu: 0,986 AU
Excentricita: 0,396
Sklon dráhy: 7,9°
Délka vzestupného uzlu: 193,1°
Argument perihelia: 17,8°
Střední anomálie: 352,9°
Epocha: 2025 APR 02 22:39:24
orbit plot

NeinteraktivnĂ­ graf | InteraktivnĂ­ graf

position vs time
speed and acceleration