🇳🇴 🇬🇧 🇩🇪 🇨🇿 🇫🇮

Meteor Sjølyststrandan yllä 2025-04-02 22:39:24 UTC

KML-tiedosto  |  Interaktiivinen kartta

Kartta näyttää meteorin suuntahavainnot. Vaaleammat viivat näyttävät suunnat havaintoasemilta meteorin ilmestyessä, ja tummemmat viivat näyttävät, missä se viimeksi nähtiin. Sininen nuoli näyttää meteorin näkyvän lennon.

static map
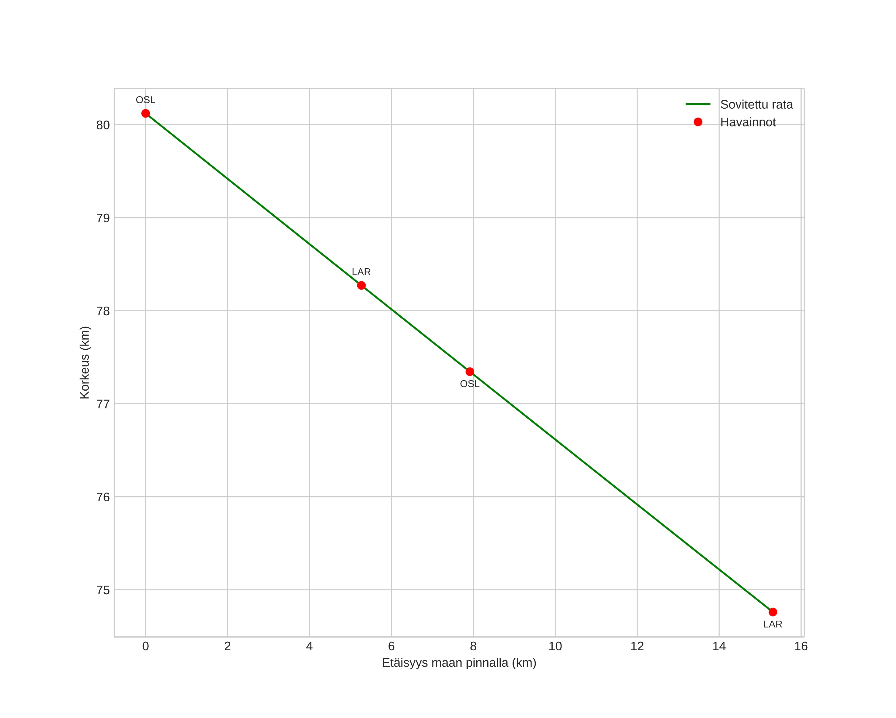
height profile
Meteorin ilmakehärata:
Alkukorkeus: 81,3 km
Loppukorkeus: 74,1 km
Alkupiste: 59,842N 10,451E
Loppupiste: 59,964N 10,704E
Suunta: 46,1°
Kallistuskulma: 20,3°
Tulonopeus: 13,3 km/s
Radiantin R,A,: 08:39 (129,8°)
Radiantin Dekl,: -21,6°
Meteoriparvi: Sporadinen
Meteoroidin rataelementit:
Perihelietäisyys: 0,986 AU
Eksentrisyys: 0,396
Inklinaatio: 7,9°
Nousevan solmun pituus: 193,1°
Perihelin argumentti: 17,8°
Keskianomalia: 352,9°
Epookki: 2025 APR 02 22:39:24
orbit plot

Ei-interaktiivinen kuvaaja | Interaktiivinen kuvaaja

position vs time
speed and acceleration