🇳🇴 🇬🇧 🇩🇪 🇨🇿 🇫🇮

Meteor über Sjølyststranda 2025-04-02 22:39:24 UTC

KML-Datei  |  Interaktive Karte

Die Karte zeigt die Peilungen für den Meteor. Die helleren Linien zeigen die Richtungen von den Beobachtungsorten beim Erscheinen des Meteors, und die dunkleren Linien, wo er zuletzt gesehen wurde. Der blaue Pfeil zeigt die sichtbare Bahn des Meteors.

static map
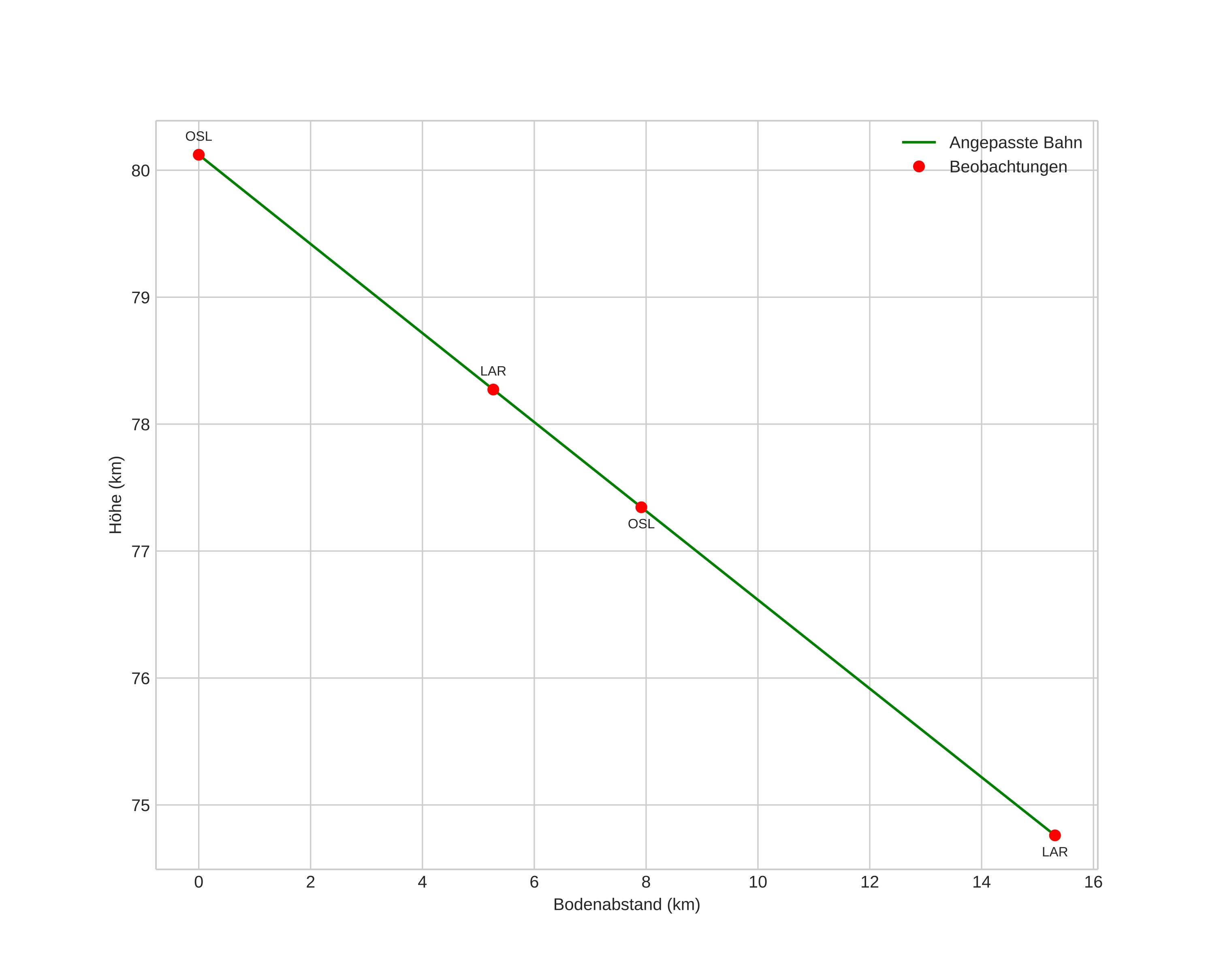
height profile
Atmosphärische Bahn des Meteors:
Anfangshöhe: 81,1 km
Endhöhe: 74,3 km
Startposition: 59,843N 10,451E
Endposition: 59,974N 10,719E
Richtung: 45,7°
Neigungswinkel: 18,0°
Eintrittsgeschwindigkeit: 13,0 km/s
Rektaszension des Radianten: 08:30 (127,7°)
Deklination des Radianten: -26,8°
Meteorstrom: sporadisch
Bahnelemente des Meteoroiden:
Periheldistanz: 0,989 AU
Exzentrizität: 0,331
Inklination: 8,2°
Länge des aufsteigenden Knotens: 193,1°
Argument des Perihels: 16,8°
Mittlere Anomalie: 352,0°
Epoche: 2025 APR 02 22:39:24
orbit plot

Nicht-interaktives Diagramm | Interaktives Diagramm

position vs time
speed and acceleration