🇳🇴 🇬🇧 🇩🇪 🇨🇿 🇫🇮

Meteor, poloha: Jaren 2025-04-26 01:18:40 UTC

Soubor KML  |  InteraktivnĂ­ mapa

Mapa zobrazuje dráhy meteoru. Světlejší čáry ukazují směry od pozorovacích stanic při objevení se meteoru a tmavší čáry, kde byl naposledy viděn. Modrá šipka značí viditelnou dráhu meteoru.

static map
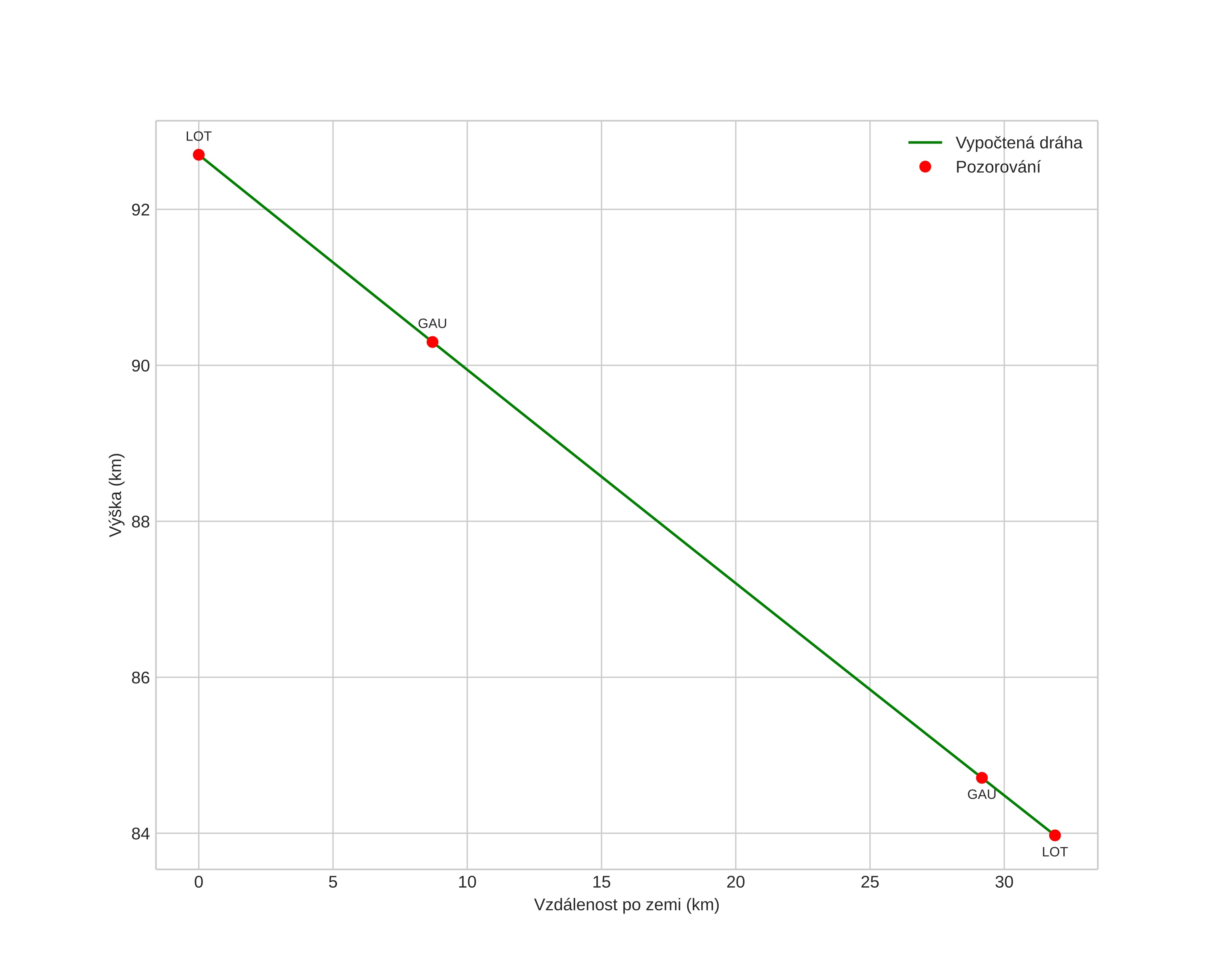
height profile
Atmosférická dráha meteoru:
Počáteční výška: 93,4 km
Konečná výška: 84,4 km
Počáteční poloha: 60,166N 10,435E
Konečná poloha: 60,439N 10,633E
Směr: 19,7°
Sklon: 15,6°
VstupnĂ­ rychlost: 31,4 km/s
Rektascenze radiantu: 14:54 (223,6°)
Deklinace radiantu: -15,3°
MeteorickĂ˝ roj: sporadickĂ˝
Elementy dráhy meteoroidu:
Vzdálenost v periheliu: 0,370 AU
Excentricita: 0,854
Sklon dráhy: 1,6°
Délka vzestupného uzlu: 35,8°
Argument perihelia: 291,8°
Střední anomálie: 349,6°
Epocha: 2025 APR 26 01:18:40
orbit plot

NeinteraktivnĂ­ graf | InteraktivnĂ­ graf

position vs time
speed and acceleration